An orthogonal polynomial sequence is a sequence of polynomials
of degree
, which are mutually orthogonal in the sense that

where
is some domain (e.g. an interval
) and
is a fixed weight function. A sequence of orthogonal polynomials is determined completely by
,
, and a normalization convention (e.g.
). Applications of orthogonal polynomials include function approximation and solution of differential equations.
Orthogonal polynomials are sometimes defined using the differential equations they satisfy (as functions of
) or the recurrence relations they satisfy with respect to the order
. Other ways of defining orthogonal polynomials include differentiation formulas and generating functions. The standard orthogonal polynomials can also be represented as hypergeometric series (see Hypergeometric functions), more specifically using the Gauss hypergeometric function
in most cases. The following functions are generally implemented using hypergeometric functions since this is computationally efficient and easily generalizes.
For more information, see the Wikipedia article on orthogonal polynomials.
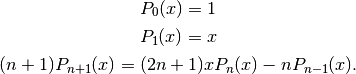
legendre(n, x) evaluates the Legendre polynomial
.
The Legendre polynomials are given by the formula

Alternatively, they can be computed recursively using

A third definition is in terms of the hypergeometric function
, whereby they can be generalized to arbitrary
:

Plots
# Legendre polynomials P_n(x) on [-1,1] for n=0,1,2,3,4
f0 = lambda x: legendre(0,x)
f1 = lambda x: legendre(1,x)
f2 = lambda x: legendre(2,x)
f3 = lambda x: legendre(3,x)
f4 = lambda x: legendre(4,x)
plot([f0,f1,f2,f3,f4],[-1,1])
Basic evaluation
The Legendre polynomials assume fixed values at the points
and
:
>>> from mpmath import *
>>> mp.dps = 15; mp.pretty = True
>>> nprint([legendre(n, 1) for n in range(6)])
[1.0, 1.0, 1.0, 1.0, 1.0, 1.0]
>>> nprint([legendre(n, -1) for n in range(6)])
[1.0, -1.0, 1.0, -1.0, 1.0, -1.0]
The coefficients of Legendre polynomials can be recovered
using degree-
Taylor expansion:
>>> for n in range(5):
... nprint(chop(taylor(lambda x: legendre(n, x), 0, n)))
...
[1.0]
[0.0, 1.0]
[-0.5, 0.0, 1.5]
[0.0, -1.5, 0.0, 2.5]
[0.375, 0.0, -3.75, 0.0, 4.375]
The roots of Legendre polynomials are located symmetrically
on the interval
:
>>> for n in range(5):
... nprint(polyroots(taylor(lambda x: legendre(n, x), 0, n)[::-1]))
...
[]
[0.0]
[-0.57735, 0.57735]
[-0.774597, 0.0, 0.774597]
[-0.861136, -0.339981, 0.339981, 0.861136]
An example of an evaluation for arbitrary
:
>>> legendre(0.75, 2+4j)
(1.94952805264875 + 2.1071073099422j)
Orthogonality
The Legendre polynomials are orthogonal on
with respect
to the trivial weight
. That is,
integrates to zero if
and to
if
:
>>> m, n = 3, 4
>>> quad(lambda x: legendre(m,x)*legendre(n,x), [-1, 1])
0.0
>>> m, n = 4, 4
>>> quad(lambda x: legendre(m,x)*legendre(n,x), [-1, 1])
0.222222222222222
Differential equation
The Legendre polynomials satisfy the differential equation

We can verify this numerically:
>>> n = 3.6
>>> x = 0.73
>>> P = legendre
>>> A = diff(lambda t: (1-t**2)*diff(lambda u: P(n,u), t), x)
>>> B = n*(n+1)*P(n,x)
>>> nprint(A+B,1)
9.0e-16
Calculates the (associated) Legendre function of the first kind of
degree n and order m,
. Taking
gives the ordinary
Legendre function of the first kind,
. The parameters may be
complex numbers.
In terms of the Gauss hypergeometric function, the (associated) Legendre function is defined as

With type=3 instead of type=2, the alternative definition

is used. These functions correspond respectively to LegendreP[n,m,2,z] and LegendreP[n,m,3,z] in Mathematica.
The general solution of the (associated) Legendre differential equation

is given by
for arbitrary constants
,
, where
is a Legendre function of the
second kind as implemented by legenq().
Examples
Evaluation for arbitrary parameters and arguments:
>>> from mpmath import *
>>> mp.dps = 25; mp.pretty = True
>>> legenp(2, 0, 10); legendre(2, 10)
149.5
149.5
>>> legenp(-2, 0.5, 2.5)
(1.972260393822275434196053 - 1.972260393822275434196053j)
>>> legenp(2+3j, 1-j, -0.5+4j)
(-3.335677248386698208736542 - 5.663270217461022307645625j)
>>> chop(legenp(3, 2, -1.5, type=2))
28.125
>>> chop(legenp(3, 2, -1.5, type=3))
-28.125
Verifying the associated Legendre differential equation:
>>> n, m = 2, -0.5
>>> C1, C2 = 1, -3
>>> f = lambda z: C1*legenp(n,m,z) + C2*legenq(n,m,z)
>>> deq = lambda z: (1-z**2)*diff(f,z,2) - 2*z*diff(f,z) + \
... (n*(n+1)-m**2/(1-z**2))*f(z)
>>> for z in [0, 2, -1.5, 0.5+2j]:
... chop(deq(mpmathify(z)))
...
0.0
0.0
0.0
0.0
Calculates the (associated) Legendre function of the second kind of
degree n and order m,
. Taking
gives the ordinary
Legendre function of the second kind,
. The parameters may
complex numbers.
The Legendre functions of the second kind give a second set of
solutions to the (associated) Legendre differential equation.
(See legenp().)
Unlike the Legendre functions of the first kind, they are not
polynomials of
for integer
,
but rational or logarithmic
functions with poles at
.
There are various ways to define Legendre functions of the second kind, giving rise to different complex structure. A version can be selected using the type keyword argument. The type=2 and type=3 functions are given respectively by

where
and
are the type=2 and type=3 Legendre functions
of the first kind. The formulas above should be understood as limits
when
is an integer.
These functions correspond to LegendreQ[n,m,2,z] (or LegendreQ[n,m,z])
and LegendreQ[n,m,3,z] in Mathematica. The type=3 function
is essentially the same as the function defined in
Abramowitz & Stegun (eq. 8.1.3) but with
instead
of
, giving slightly different branches.
Examples
Evaluation for arbitrary parameters and arguments:
>>> from mpmath import *
>>> mp.dps = 25; mp.pretty = True
>>> legenq(2, 0, 0.5)
-0.8186632680417568557122028
>>> legenq(-1.5, -2, 2.5)
(0.6655964618250228714288277 + 0.3937692045497259717762649j)
>>> legenq(2-j, 3+4j, -6+5j)
(-10001.95256487468541686564 - 6011.691337610097577791134j)
Different versions of the function:
>>> legenq(2, 1, 0.5)
0.7298060598018049369381857
>>> legenq(2, 1, 1.5)
(-7.902916572420817192300921 + 0.1998650072605976600724502j)
>>> legenq(2, 1, 0.5, type=3)
(2.040524284763495081918338 - 0.7298060598018049369381857j)
>>> chop(legenq(2, 1, 1.5, type=3))
-0.1998650072605976600724502
chebyt(n, x) evaluates the Chebyshev polynomial of the first
kind
, defined by the identity

The Chebyshev polynomials of the first kind are a special
case of the Jacobi polynomials, and by extension of the
hypergeometric function
. They can thus also be
evaluated for nonintegral
.
Plots
# Chebyshev polynomials T_n(x) on [-1,1] for n=0,1,2,3,4
f0 = lambda x: chebyt(0,x)
f1 = lambda x: chebyt(1,x)
f2 = lambda x: chebyt(2,x)
f3 = lambda x: chebyt(3,x)
f4 = lambda x: chebyt(4,x)
plot([f0,f1,f2,f3,f4],[-1,1])
Basic evaluation
The coefficients of the
-th polynomial can be recovered
using using degree-
Taylor expansion:
>>> from mpmath import *
>>> mp.dps = 15; mp.pretty = True
>>> for n in range(5):
... nprint(chop(taylor(lambda x: chebyt(n, x), 0, n)))
...
[1.0]
[0.0, 1.0]
[-1.0, 0.0, 2.0]
[0.0, -3.0, 0.0, 4.0]
[1.0, 0.0, -8.0, 0.0, 8.0]
Orthogonality
The Chebyshev polynomials of the first kind are orthogonal
on the interval
with respect to the weight
function
:
>>> f = lambda x: chebyt(m,x)*chebyt(n,x)/sqrt(1-x**2)
>>> m, n = 3, 4
>>> nprint(quad(f, [-1, 1]),1)
0.0
>>> m, n = 4, 4
>>> quad(f, [-1, 1])
1.57079632596448
chebyu(n, x) evaluates the Chebyshev polynomial of the second
kind
, defined by the identity

The Chebyshev polynomials of the second kind are a special
case of the Jacobi polynomials, and by extension of the
hypergeometric function
. They can thus also be
evaluated for nonintegral
.
Plots
# Chebyshev polynomials U_n(x) on [-1,1] for n=0,1,2,3,4
f0 = lambda x: chebyu(0,x)
f1 = lambda x: chebyu(1,x)
f2 = lambda x: chebyu(2,x)
f3 = lambda x: chebyu(3,x)
f4 = lambda x: chebyu(4,x)
plot([f0,f1,f2,f3,f4],[-1,1])
Basic evaluation
The coefficients of the
-th polynomial can be recovered
using using degree-
Taylor expansion:
>>> from mpmath import *
>>> mp.dps = 15; mp.pretty = True
>>> for n in range(5):
... nprint(chop(taylor(lambda x: chebyu(n, x), 0, n)))
...
[1.0]
[0.0, 2.0]
[-1.0, 0.0, 4.0]
[0.0, -4.0, 0.0, 8.0]
[1.0, 0.0, -12.0, 0.0, 16.0]
Orthogonality
The Chebyshev polynomials of the second kind are orthogonal
on the interval
with respect to the weight
function
:
>>> f = lambda x: chebyu(m,x)*chebyu(n,x)*sqrt(1-x**2)
>>> m, n = 3, 4
>>> quad(f, [-1, 1])
0.0
>>> m, n = 4, 4
>>> quad(f, [-1, 1])
1.5707963267949
jacobi(n, a, b, x) evaluates the Jacobi polynomial
. The Jacobi polynomials are a special
case of the hypergeometric function
given by:

Note that this definition generalizes to nonintegral values
of
. When
is an integer, the hypergeometric series
terminates after a finite number of terms, giving
a polynomial in
.
Evaluation of Jacobi polynomials
A special evaluation is
:
>>> from mpmath import *
>>> mp.dps = 15; mp.pretty = True
>>> jacobi(4, 0.5, 0.25, 1)
2.4609375
>>> binomial(4+0.5, 4)
2.4609375
A Jacobi polynomial of degree
is equal to its
Taylor polynomial of degree
. The explicit
coefficients of Jacobi polynomials can therefore
be recovered easily using taylor():
>>> for n in range(5):
... nprint(taylor(lambda x: jacobi(n,1,2,x), 0, n))
...
[1.0]
[-0.5, 2.5]
[-0.75, -1.5, 5.25]
[0.5, -3.5, -3.5, 10.5]
[0.625, 2.5, -11.25, -7.5, 20.625]
For nonintegral
, the Jacobi “polynomial” is no longer
a polynomial:
>>> nprint(taylor(lambda x: jacobi(0.5,1,2,x), 0, 4))
[0.309983, 1.84119, -1.26933, 1.26699, -1.34808]
Orthogonality
The Jacobi polynomials are orthogonal on the interval
with respect to the weight function
. That is,
integrates to
zero if
and to a nonzero number if
.
The orthogonality is easy to verify using numerical quadrature:
>>> P = jacobi
>>> f = lambda x: (1-x)**a * (1+x)**b * P(m,a,b,x) * P(n,a,b,x)
>>> a = 2
>>> b = 3
>>> m, n = 3, 4
>>> chop(quad(f, [-1, 1]), 1)
0.0
>>> m, n = 4, 4
>>> quad(f, [-1, 1])
1.9047619047619
Differential equation
The Jacobi polynomials are solutions of the differential equation

We can verify that jacobi() approximately satisfies this equation:
>>> from mpmath import *
>>> mp.dps = 15
>>> a = 2.5
>>> b = 4
>>> n = 3
>>> y = lambda x: jacobi(n,a,b,x)
>>> x = pi
>>> A0 = n*(n+a+b+1)*y(x)
>>> A1 = (b-a-(a+b+2)*x)*diff(y,x)
>>> A2 = (1-x**2)*diff(y,x,2)
>>> nprint(A2 + A1 + A0, 1)
4.0e-12
The difference of order
is as close to zero as
it could be at 15-digit working precision, since the terms
are large:
>>> A0, A1, A2
(26560.2328981879, -21503.7641037294, -5056.46879445852)
Evaluates the Gegenbauer polynomial, or ultraspherical polynomial,

When
is a nonnegative integer, this formula gives a polynomial
in
of degree
, but all parameters are permitted to be
complex numbers. With
, the Gegenbauer polynomial
reduces to a Legendre polynomial.
Examples
Evaluation for arbitrary arguments:
>>> from mpmath import *
>>> mp.dps = 25; mp.pretty = True
>>> gegenbauer(3, 0.5, -10)
-2485.0
>>> gegenbauer(1000, 10, 100)
3.012757178975667428359374e+2322
>>> gegenbauer(2+3j, -0.75, -1000j)
(-5038991.358609026523401901 + 9414549.285447104177860806j)
Evaluation at negative integer orders:
>>> gegenbauer(-4, 2, 1.75)
-1.0
>>> gegenbauer(-4, 3, 1.75)
0.0
>>> gegenbauer(-4, 2j, 1.75)
0.0
>>> gegenbauer(-7, 0.5, 3)
8989.0
The Gegenbauer polynomials solve the differential equation:
>>> n, a = 4.5, 1+2j
>>> f = lambda z: gegenbauer(n, a, z)
>>> for z in [0, 0.75, -0.5j]:
... chop((1-z**2)*diff(f,z,2) - (2*a+1)*z*diff(f,z) + n*(n+2*a)*f(z))
...
0.0
0.0
0.0
The Gegenbauer polynomials have generating function
:
>>> a, z = 2.5, 1
>>> taylor(lambda t: (1-2*z*t+t**2)**(-a), 0, 3)
[1.0, 5.0, 15.0, 35.0]
>>> [gegenbauer(n,a,z) for n in range(4)]
[1.0, 5.0, 15.0, 35.0]
The Gegenbauer polynomials are orthogonal on
with respect
to the weight
:
>>> a, n, m = 2.5, 4, 5
>>> Cn = lambda z: gegenbauer(n, a, z, zeroprec=1000)
>>> Cm = lambda z: gegenbauer(m, a, z, zeroprec=1000)
>>> chop(quad(lambda z: Cn(z)*Cm(z)*(1-z**2)*(a-0.5), [-1, 1]))
0.0
Evaluates the Hermite polynomial
, which may be defined using
the recurrence

The Hermite polynomials are orthogonal on
with
respect to the weight
. More generally, allowing arbitrary complex
values of
, the Hermite function
is defined as

for
, or generally

Plots
# Hermite polynomials H_n(x) on the real line for n=0,1,2,3,4
f0 = lambda x: hermite(0,x)
f1 = lambda x: hermite(1,x)
f2 = lambda x: hermite(2,x)
f3 = lambda x: hermite(3,x)
f4 = lambda x: hermite(4,x)
plot([f0,f1,f2,f3,f4],[-2,2],[-25,25])
Examples
Evaluation for arbitrary arguments:
>>> from mpmath import *
>>> mp.dps = 25; mp.pretty = True
>>> hermite(0, 10)
1.0
>>> hermite(1, 10); hermite(2, 10)
20.0
398.0
>>> hermite(10000, 2)
4.950440066552087387515653e+19334
>>> hermite(3, -10**8)
-7999999999999998800000000.0
>>> hermite(-3, -10**8)
1.675159751729877682920301e+4342944819032534
>>> hermite(2+3j, -1+2j)
(-0.07652130602993513389421901 - 0.1084662449961914580276007j)
Coefficients of the first few Hermite polynomials are:
>>> for n in range(7):
... chop(taylor(lambda z: hermite(n, z), 0, n))
...
[1.0]
[0.0, 2.0]
[-2.0, 0.0, 4.0]
[0.0, -12.0, 0.0, 8.0]
[12.0, 0.0, -48.0, 0.0, 16.0]
[0.0, 120.0, 0.0, -160.0, 0.0, 32.0]
[-120.0, 0.0, 720.0, 0.0, -480.0, 0.0, 64.0]
Values at
:
>>> for n in range(-5, 9):
... hermite(n, 0)
...
0.02769459142039868792653387
0.08333333333333333333333333
0.2215567313631895034122709
0.5
0.8862269254527580136490837
1.0
0.0
-2.0
0.0
12.0
0.0
-120.0
0.0
1680.0
Hermite functions satisfy the differential equation:
>>> n = 4
>>> f = lambda z: hermite(n, z)
>>> z = 1.5
>>> chop(diff(f,z,2) - 2*z*diff(f,z) + 2*n*f(z))
0.0
Verifying orthogonality:
>>> chop(quad(lambda t: hermite(2,t)*hermite(4,t)*exp(-t**2), [-inf,inf]))
0.0
Gives the generalized (associated) Laguerre polynomial, defined by

With
and
a nonnegative integer, this reduces to an ordinary
Laguerre polynomial, the sequence of which begins
.
The Laguerre polynomials are orthogonal with respect to the weight
on
.
Plots
# Hermite polynomials L_n(x) on the real line for n=0,1,2,3,4
f0 = lambda x: laguerre(0,0,x)
f1 = lambda x: laguerre(1,0,x)
f2 = lambda x: laguerre(2,0,x)
f3 = lambda x: laguerre(3,0,x)
f4 = lambda x: laguerre(4,0,x)
plot([f0,f1,f2,f3,f4],[0,10],[-10,10])
Examples
Evaluation for arbitrary arguments:
>>> from mpmath import *
>>> mp.dps = 25; mp.pretty = True
>>> laguerre(5, 0, 0.25)
0.03726399739583333333333333
>>> laguerre(1+j, 0.5, 2+3j)
(4.474921610704496808379097 - 11.02058050372068958069241j)
>>> laguerre(2, 0, 10000)
49980001.0
>>> laguerre(2.5, 0, 10000)
-9.327764910194842158583189e+4328
The first few Laguerre polynomials, normalized to have integer coefficients:
>>> for n in range(7):
... chop(taylor(lambda z: fac(n)*laguerre(n, 0, z), 0, n))
...
[1.0]
[1.0, -1.0]
[2.0, -4.0, 1.0]
[6.0, -18.0, 9.0, -1.0]
[24.0, -96.0, 72.0, -16.0, 1.0]
[120.0, -600.0, 600.0, -200.0, 25.0, -1.0]
[720.0, -4320.0, 5400.0, -2400.0, 450.0, -36.0, 1.0]
Verifying orthogonality:
>>> Lm = lambda t: laguerre(m,a,t)
>>> Ln = lambda t: laguerre(n,a,t)
>>> a, n, m = 2.5, 2, 3
>>> chop(quad(lambda t: exp(-t)*t**a*Lm(t)*Ln(t), [0,inf]))
0.0
Evaluates the spherical harmonic
,

where
is an associated Legendre function (see legenp()).
Here
denotes the polar coordinate (ranging
from the north pole to the south pole) and
denotes the
azimuthal coordinate on a sphere. Care should be used since many different
conventions for spherical coordinate variables are used.
Usually spherical harmonics are considered for
,
,
. More generally,
are permitted to be complex numbers.
Note
spherharm() returns a complex number, even the value is purely real.
Plots
# Real part of spherical harmonic Y_(4,0)(theta,phi)
def Y(l,m):
def g(theta,phi):
R = abs(fp.re(fp.spherharm(l,m,theta,phi)))
x = R*fp.cos(phi)*fp.sin(theta)
y = R*fp.sin(phi)*fp.sin(theta)
z = R*fp.cos(theta)
return [x,y,z]
return g
fp.splot(Y(4,0), [0,fp.pi], [0,2*fp.pi], points=300)
# fp.splot(Y(4,0), [0,fp.pi], [0,2*fp.pi], points=300)
# fp.splot(Y(4,1), [0,fp.pi], [0,2*fp.pi], points=300)
# fp.splot(Y(4,2), [0,fp.pi], [0,2*fp.pi], points=300)
# fp.splot(Y(4,3), [0,fp.pi], [0,2*fp.pi], points=300)
:
:
:
:
:
Examples
Some low-order spherical harmonics with reference values:
>>> from mpmath import *
>>> mp.dps = 25; mp.pretty = True
>>> theta = pi/4
>>> phi = pi/3
>>> spherharm(0,0,theta,phi); 0.5*sqrt(1/pi)*expj(0)
(0.2820947917738781434740397 + 0.0j)
(0.2820947917738781434740397 + 0.0j)
>>> spherharm(1,-1,theta,phi); 0.5*sqrt(3/(2*pi))*expj(-phi)*sin(theta)
(0.1221506279757299803965962 - 0.2115710938304086076055298j)
(0.1221506279757299803965962 - 0.2115710938304086076055298j)
>>> spherharm(1,0,theta,phi); 0.5*sqrt(3/pi)*cos(theta)*expj(0)
(0.3454941494713354792652446 + 0.0j)
(0.3454941494713354792652446 + 0.0j)
>>> spherharm(1,1,theta,phi); -0.5*sqrt(3/(2*pi))*expj(phi)*sin(theta)
(-0.1221506279757299803965962 - 0.2115710938304086076055298j)
(-0.1221506279757299803965962 - 0.2115710938304086076055298j)
With the normalization convention used, the spherical harmonics are orthonormal on the unit sphere:
>>> sphere = [0,pi], [0,2*pi]
>>> dS = lambda t,p: fp.sin(t) # differential element
>>> Y1 = lambda t,p: fp.spherharm(l1,m1,t,p)
>>> Y2 = lambda t,p: fp.conj(fp.spherharm(l2,m2,t,p))
>>> l1 = l2 = 3; m1 = m2 = 2
>>> print(fp.quad(lambda t,p: Y1(t,p)*Y2(t,p)*dS(t,p), *sphere))
(1+0j)
>>> m2 = 1 # m1 != m2
>>> print(fp.chop(fp.quad(lambda t,p: Y1(t,p)*Y2(t,p)*dS(t,p), *sphere)))
0.0
Evaluation is accurate for large orders:
>>> spherharm(1000,750,0.5,0.25)
(3.776445785304252879026585e-102 - 5.82441278771834794493484e-102j)
Evaluation works with complex parameter values:
>>> spherharm(1+j, 2j, 2+3j, -0.5j)
(64.44922331113759992154992 + 1981.693919841408089681743j)