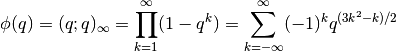
Evaluates the q-Pochhammer symbol (or q-rising factorial)

where
is permitted if
. Called with two arguments,
qp(a,q) computes
; with a single argument, qp(q)
computes
. The special case

is also known as the Euler function, or (up to a factor
)
the Dedekind eta function.
Examples
If
is a positive integer, the function amounts to a finite product:
>>> from mpmath import *
>>> mp.dps = 25; mp.pretty = True
>>> qp(2,3,5)
-725305.0
>>> fprod(1-2*3**k for k in range(5))
-725305.0
>>> qp(2,3,0)
1.0
Complex arguments are allowed:
>>> qp(2-1j, 0.75j)
(0.4628842231660149089976379 + 4.481821753552703090628793j)
The regular Pochhammer symbol
is obtained in the
following limit as
:
>>> a, n = 4, 7
>>> limit(lambda q: qp(q**a,q,n) / (1-q)**n, 1)
604800.0
>>> rf(a,n)
604800.0
The Taylor series of the reciprocal Euler function gives
the partition function
, i.e. the number of ways of writing
as a sum of positive integers:
>>> taylor(lambda q: 1/qp(q), 0, 10)
[1.0, 1.0, 2.0, 3.0, 5.0, 7.0, 11.0, 15.0, 22.0, 30.0, 42.0]
Special values include:
>>> qp(0)
1.0
>>> findroot(diffun(qp), -0.4) # location of maximum
-0.4112484791779547734440257
>>> qp(_)
1.228348867038575112586878
The q-Pochhammer symbol is related to the Jacobi theta functions. For example, the following identity holds:
>>> q = mpf(0.5) # arbitrary
>>> qp(q)
0.2887880950866024212788997
>>> root(3,-2)*root(q,-24)*jtheta(2,pi/6,root(q,6))
0.2887880950866024212788997
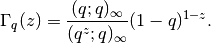
Evaluates the q-gamma function

Examples
Evaluation for real and complex arguments:
>>> from mpmath import *
>>> mp.dps = 25; mp.pretty = True
>>> qgamma(4,0.75)
4.046875
>>> qgamma(6,6)
121226245.0
>>> qgamma(3+4j, 0.5j)
(0.1663082382255199834630088 + 0.01952474576025952984418217j)
The q-gamma function satisfies a functional equation similar to that of the ordinary gamma function:
>>> q = mpf(0.25)
>>> z = mpf(2.5)
>>> qgamma(z+1,q)
1.428277424823760954685912
>>> (1-q**z)/(1-q)*qgamma(z,q)
1.428277424823760954685912
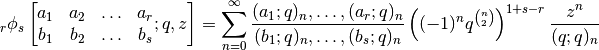
Evaluates the basic hypergeometric series or hypergeometric q-series
![\,_r\phi_s \left[\begin{matrix}
a_1 & a_2 & \ldots & a_r \\
b_1 & b_2 & \ldots & b_s
\end{matrix} ; q,z \right] =
\sum_{n=0}^\infty
\frac{(a_1;q)_n, \ldots, (a_r;q)_n}
{(b_1;q)_n, \ldots, (b_s;q)_n}
\left((-1)^n q^{n\choose 2}\right)^{1+s-r}
\frac{z^n}{(q;q)_n}](../_images/math/a8efaffc0e5fe799f97388cdc4eef302ba675f3f.png)
where
denotes the q-Pochhammer symbol (see qp()).
Examples
Evaluation works for real and complex arguments:
>>> from mpmath import *
>>> mp.dps = 25; mp.pretty = True
>>> qhyper([0.5], [2.25], 0.25, 4)
-0.1975849091263356009534385
>>> qhyper([0.5], [2.25], 0.25-0.25j, 4)
(2.806330244925716649839237 + 3.568997623337943121769938j)
>>> qhyper([1+j], [2,3+0.5j], 0.25, 3+4j)
(9.112885171773400017270226 - 1.272756997166375050700388j)
Comparing with a summation of the defining series, using nsum():
>>> b, q, z = 3, 0.25, 0.5
>>> qhyper([], [b], q, z)
0.6221136748254495583228324
>>> nsum(lambda n: z**n / qp(q,q,n)/qp(b,q,n) * q**(n*(n-1)), [0,inf])
0.6221136748254495583228324