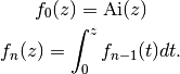
The functions in this section arise as solutions to various differential equations in physics, typically describing wavelike oscillatory behavior or a combination of oscillation and exponential decay or growth. Mathematically, they are special cases of the confluent hypergeometric functions
,
and
(see Hypergeometric functions).
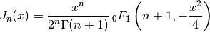
besselj(n, x, derivative=0) gives the Bessel function of the first kind
. Bessel functions of the first kind are defined as
solutions of the differential equation

which appears, among other things, when solving the radial
part of Laplace’s equation in cylindrical coordinates. This
equation has two solutions for given
, where the
-function is the solution that is nonsingular at
.
For positive integer
,
behaves roughly like a sine
(odd
) or cosine (even
) multiplied by a magnitude factor
that decays slowly as
.
Generally,
is a special case of the hypergeometric
function
:

With derivative =
, the
-th derivative

is computed.
Plots
# Bessel function J_n(x) on the real line for n=0,1,2,3
j0 = lambda x: besselj(0,x)
j1 = lambda x: besselj(1,x)
j2 = lambda x: besselj(2,x)
j3 = lambda x: besselj(3,x)
plot([j0,j1,j2,j3],[0,14])
# Bessel function J_n(z) in the complex plane
cplot(lambda z: besselj(1,z), [-8,8], [-8,8], points=50000)
Examples
Evaluation is supported for arbitrary arguments, and at arbitrary precision:
>>> from mpmath import *
>>> mp.dps = 15; mp.pretty = True
>>> besselj(2, 1000)
-0.024777229528606
>>> besselj(4, 0.75)
0.000801070086542314
>>> besselj(2, 1000j)
(-2.48071721019185e+432 + 6.41567059811949e-437j)
>>> mp.dps = 25
>>> besselj(0.75j, 3+4j)
(-2.778118364828153309919653 - 1.5863603889018621585533j)
>>> mp.dps = 50
>>> besselj(1, pi)
0.28461534317975275734531059968613140570981118184947
Arguments may be large:
>>> mp.dps = 25
>>> besselj(0, 10000)
-0.007096160353388801477265164
>>> besselj(0, 10**10)
0.000002175591750246891726859055
>>> besselj(2, 10**100)
7.337048736538615712436929e-51
>>> besselj(2, 10**5*j)
(-3.540725411970948860173735e+43426 + 4.4949812409615803110051e-43433j)
The Bessel functions of the first kind satisfy simple
symmetries around
:
>>> mp.dps = 15
>>> nprint([besselj(n,0) for n in range(5)])
[1.0, 0.0, 0.0, 0.0, 0.0]
>>> nprint([besselj(n,pi) for n in range(5)])
[-0.304242, 0.284615, 0.485434, 0.333458, 0.151425]
>>> nprint([besselj(n,-pi) for n in range(5)])
[-0.304242, -0.284615, 0.485434, -0.333458, 0.151425]
Roots of Bessel functions are often used:
>>> nprint([findroot(j0, k) for k in [2, 5, 8, 11, 14]])
[2.40483, 5.52008, 8.65373, 11.7915, 14.9309]
>>> nprint([findroot(j1, k) for k in [3, 7, 10, 13, 16]])
[3.83171, 7.01559, 10.1735, 13.3237, 16.4706]
The roots are not periodic, but the distance between successive
roots asymptotically approaches
. Bessel functions of
the first kind have the following normalization:
>>> quadosc(j0, [0, inf], period=2*pi)
1.0
>>> quadosc(j1, [0, inf], period=2*pi)
1.0
For
or
, the Bessel function reduces to a
trigonometric function:
>>> x = 10
>>> besselj(0.5, x), sqrt(2/(pi*x))*sin(x)
(-0.13726373575505, -0.13726373575505)
>>> besselj(-0.5, x), sqrt(2/(pi*x))*cos(x)
(-0.211708866331398, -0.211708866331398)
Derivatives of any order can be computed (negative orders correspond to integration):
>>> mp.dps = 25
>>> besselj(0, 7.5, 1)
-0.1352484275797055051822405
>>> diff(lambda x: besselj(0,x), 7.5)
-0.1352484275797055051822405
>>> besselj(0, 7.5, 10)
-0.1377811164763244890135677
>>> diff(lambda x: besselj(0,x), 7.5, 10)
-0.1377811164763244890135677
>>> besselj(0,7.5,-1) - besselj(0,3.5,-1)
-0.1241343240399987693521378
>>> quad(j0, [3.5, 7.5])
-0.1241343240399987693521378
Differentiation with a noninteger order gives the fractional derivative in the sense of the Riemann-Liouville differintegral, as computed by differint():
>>> mp.dps = 15
>>> besselj(1, 3.5, 0.75)
-0.385977722939384
>>> differint(lambda x: besselj(1, x), 3.5, 0.75)
-0.385977722939384
bessely(n, x, derivative=0) gives the Bessel function of the second kind,

For
an integer, this formula should be understood as a
limit. With derivative =
, the
-th derivative

is computed.
Plots
# Bessel function of 2nd kind Y_n(x) on the real line for n=0,1,2,3
y0 = lambda x: bessely(0,x)
y1 = lambda x: bessely(1,x)
y2 = lambda x: bessely(2,x)
y3 = lambda x: bessely(3,x)
plot([y0,y1,y2,y3],[0,10],[-4,1])
# Bessel function of 2nd kind Y_n(z) in the complex plane
cplot(lambda z: bessely(1,z), [-8,8], [-8,8], points=50000)
Examples
Some values of
:
>>> from mpmath import *
>>> mp.dps = 25; mp.pretty = True
>>> bessely(0,0), bessely(1,0), bessely(2,0)
(-inf, -inf, -inf)
>>> bessely(1, pi)
0.3588729167767189594679827
>>> bessely(0.5, 3+4j)
(9.242861436961450520325216 - 3.085042824915332562522402j)
Arguments may be large:
>>> bessely(0, 10000)
0.00364780555898660588668872
>>> bessely(2.5, 10**50)
-4.8952500412050989295774e-26
>>> bessely(2.5, -10**50)
(0.0 + 4.8952500412050989295774e-26j)
Derivatives and antiderivatives of any order can be computed:
>>> bessely(2, 3.5, 1)
0.3842618820422660066089231
>>> diff(lambda x: bessely(2, x), 3.5)
0.3842618820422660066089231
>>> bessely(0.5, 3.5, 1)
-0.2066598304156764337900417
>>> diff(lambda x: bessely(0.5, x), 3.5)
-0.2066598304156764337900417
>>> diff(lambda x: bessely(2, x), 0.5, 10)
-208173867409.5547350101511
>>> bessely(2, 0.5, 10)
-208173867409.5547350101511
>>> bessely(2, 100.5, 100)
0.02668487547301372334849043
>>> quad(lambda x: bessely(2,x), [1,3])
-1.377046859093181969213262
>>> bessely(2,3,-1) - bessely(2,1,-1)
-1.377046859093181969213262
besseli(n, x, derivative=0) gives the modified Bessel function of the first kind,

With derivative =
, the
-th derivative

is computed.
Plots
# Modified Bessel function I_n(x) on the real line for n=0,1,2,3
i0 = lambda x: besseli(0,x)
i1 = lambda x: besseli(1,x)
i2 = lambda x: besseli(2,x)
i3 = lambda x: besseli(3,x)
plot([i0,i1,i2,i3],[0,5],[0,5])
# Modified Bessel function I_n(z) in the complex plane
cplot(lambda z: besseli(1,z), [-8,8], [-8,8], points=50000)
Examples
Some values of
:
>>> from mpmath import *
>>> mp.dps = 25; mp.pretty = True
>>> besseli(0,0)
1.0
>>> besseli(1,0)
0.0
>>> besseli(0,1)
1.266065877752008335598245
>>> besseli(3.5, 2+3j)
(-0.2904369752642538144289025 - 0.4469098397654815837307006j)
Arguments may be large:
>>> besseli(2, 1000)
2.480717210191852440616782e+432
>>> besseli(2, 10**10)
4.299602851624027900335391e+4342944813
>>> besseli(2, 6000+10000j)
(-2.114650753239580827144204e+2603 + 4.385040221241629041351886e+2602j)
For integers
, the following integral representation holds:
>>> mp.dps = 15
>>> n = 3
>>> x = 2.3
>>> quad(lambda t: exp(x*cos(t))*cos(n*t), [0,pi])/pi
0.349223221159309
>>> besseli(n,x)
0.349223221159309
Derivatives and antiderivatives of any order can be computed:
>>> mp.dps = 25
>>> besseli(2, 7.5, 1)
195.8229038931399062565883
>>> diff(lambda x: besseli(2,x), 7.5)
195.8229038931399062565883
>>> besseli(2, 7.5, 10)
153.3296508971734525525176
>>> diff(lambda x: besseli(2,x), 7.5, 10)
153.3296508971734525525176
>>> besseli(2,7.5,-1) - besseli(2,3.5,-1)
202.5043900051930141956876
>>> quad(lambda x: besseli(2,x), [3.5, 7.5])
202.5043900051930141956876
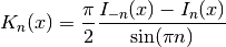
besselk(n, x) gives the modified Bessel function of the second kind,

For
an integer, this formula should be understood as a
limit.
Plots
# Modified Bessel function of 2nd kind K_n(x) on the real line for n=0,1,2,3
k0 = lambda x: besselk(0,x)
k1 = lambda x: besselk(1,x)
k2 = lambda x: besselk(2,x)
k3 = lambda x: besselk(3,x)
plot([k0,k1,k2,k3],[0,8],[0,5])
# Modified Bessel function of 2nd kind K_n(z) in the complex plane
cplot(lambda z: besselk(1,z), [-8,8], [-8,8], points=50000)
Examples
Evaluation is supported for arbitrary complex arguments:
>>> from mpmath import *
>>> mp.dps = 25; mp.pretty = True
>>> besselk(0,1)
0.4210244382407083333356274
>>> besselk(0, -1)
(0.4210244382407083333356274 - 3.97746326050642263725661j)
>>> besselk(3.5, 2+3j)
(-0.02090732889633760668464128 + 0.2464022641351420167819697j)
>>> besselk(2+3j, 0.5)
(0.9615816021726349402626083 + 0.1918250181801757416908224j)
Arguments may be large:
>>> besselk(0, 100)
4.656628229175902018939005e-45
>>> besselk(1, 10**6)
4.131967049321725588398296e-434298
>>> besselk(1, 10**6*j)
(0.001140348428252385844876706 - 0.0005200017201681152909000961j)
>>> besselk(4.5, fmul(10**50, j, exact=True))
(1.561034538142413947789221e-26 + 1.243554598118700063281496e-25j)
The point
is a singularity (logarithmic if
):
>>> besselk(0,0)
+inf
>>> besselk(1,0)
+inf
>>> for n in range(-4, 5):
... print(besselk(n, '1e-1000'))
...
4.8e+4001
8.0e+3000
2.0e+2000
1.0e+1000
2302.701024509704096466802
1.0e+1000
2.0e+2000
8.0e+3000
4.8e+4001
For a real order
and a positive integer
, returns
, the
-th positive zero of the Bessel function of the
first kind
(see besselj()). Alternatively,
with derivative=1, gives the first nonnegative simple zero
of
.
The indexing convention is that used by Abramowitz & Stegun
and the DLMF. Note the special case
, while all other
zeros are positive. In effect, only simple zeros are counted
(all zeros of Bessel functions are simple except possibly
)
and
becomes a monotonic function of both
and
.
The zeros are interlaced according to the inequalities

Examples
Initial zeros of the Bessel functions
:
>>> from mpmath import *
>>> mp.dps = 25; mp.pretty = True
>>> besseljzero(0,1); besseljzero(0,2); besseljzero(0,3)
2.404825557695772768621632
5.520078110286310649596604
8.653727912911012216954199
>>> besseljzero(1,1); besseljzero(1,2); besseljzero(1,3)
3.831705970207512315614436
7.01558666981561875353705
10.17346813506272207718571
>>> besseljzero(2,1); besseljzero(2,2); besseljzero(2,3)
5.135622301840682556301402
8.417244140399864857783614
11.61984117214905942709415
Initial zeros of
:
0.0
3.831705970207512315614436
7.01558666981561875353705
>>> besseljzero(1,1,1); besseljzero(1,2,1); besseljzero(1,3,1)
1.84118378134065930264363
5.331442773525032636884016
8.536316366346285834358961
>>> besseljzero(2,1,1); besseljzero(2,2,1); besseljzero(2,3,1)
3.054236928227140322755932
6.706133194158459146634394
9.969467823087595793179143
Zeros with large index:
>>> besseljzero(0,100); besseljzero(0,1000); besseljzero(0,10000)
313.3742660775278447196902
3140.807295225078628895545
31415.14114171350798533666
>>> besseljzero(5,100); besseljzero(5,1000); besseljzero(5,10000)
321.1893195676003157339222
3148.657306813047523500494
31422.9947255486291798943
>>> besseljzero(0,100,1); besseljzero(0,1000,1); besseljzero(0,10000,1)
311.8018681873704508125112
3139.236339643802482833973
31413.57032947022399485808
Zeros of functions with large order:
>>> besseljzero(50,1)
57.11689916011917411936228
>>> besseljzero(50,2)
62.80769876483536093435393
>>> besseljzero(50,100)
388.6936600656058834640981
>>> besseljzero(50,1,1)
52.99764038731665010944037
>>> besseljzero(50,2,1)
60.02631933279942589882363
>>> besseljzero(50,100,1)
387.1083151608726181086283
Zeros of functions with fractional order:
>>> besseljzero(0.5,1); besseljzero(1.5,1); besseljzero(2.25,4)
3.141592653589793238462643
4.493409457909064175307881
15.15657692957458622921634
Both
and
can be expressed as infinite
products over their zeros:
>>> v,z = 2, mpf(1)
>>> (z/2)**v/gamma(v+1) * \
... nprod(lambda k: 1-(z/besseljzero(v,k))**2, [1,inf])
...
0.1149034849319004804696469
>>> besselj(v,z)
0.1149034849319004804696469
>>> (z/2)**(v-1)/2/gamma(v) * \
... nprod(lambda k: 1-(z/besseljzero(v,k,1))**2, [1,inf])
...
0.2102436158811325550203884
>>> besselj(v,z,1)
0.2102436158811325550203884
For a real order
and a positive integer
, returns
, the
-th positive zero of the Bessel function of the
second kind
(see bessely()). Alternatively,
with derivative=1, gives the first positive zero
of
.
The zeros are interlaced according to the inequalities

Examples
Initial zeros of the Bessel functions
:
>>> from mpmath import *
>>> mp.dps = 25; mp.pretty = True
>>> besselyzero(0,1); besselyzero(0,2); besselyzero(0,3)
0.8935769662791675215848871
3.957678419314857868375677
7.086051060301772697623625
>>> besselyzero(1,1); besselyzero(1,2); besselyzero(1,3)
2.197141326031017035149034
5.429681040794135132772005
8.596005868331168926429606
>>> besselyzero(2,1); besselyzero(2,2); besselyzero(2,3)
3.384241767149593472701426
6.793807513268267538291167
10.02347797936003797850539
Initial zeros of
:
>>> besselyzero(0,1,1); besselyzero(0,2,1); besselyzero(0,3,1)
2.197141326031017035149034
5.429681040794135132772005
8.596005868331168926429606
>>> besselyzero(1,1,1); besselyzero(1,2,1); besselyzero(1,3,1)
3.683022856585177699898967
6.941499953654175655751944
10.12340465543661307978775
>>> besselyzero(2,1,1); besselyzero(2,2,1); besselyzero(2,3,1)
5.002582931446063945200176
8.350724701413079526349714
11.57419546521764654624265
Zeros with large index:
>>> besselyzero(0,100); besselyzero(0,1000); besselyzero(0,10000)
311.8034717601871549333419
3139.236498918198006794026
31413.57034538691205229188
>>> besselyzero(5,100); besselyzero(5,1000); besselyzero(5,10000)
319.6183338562782156235062
3147.086508524556404473186
31421.42392920214673402828
>>> besselyzero(0,100,1); besselyzero(0,1000,1); besselyzero(0,10000,1)
313.3726705426359345050449
3140.807136030340213610065
31415.14112579761578220175
Zeros of functions with large order:
>>> besselyzero(50,1)
53.50285882040036394680237
>>> besselyzero(50,2)
60.11244442774058114686022
>>> besselyzero(50,100)
387.1096509824943957706835
>>> besselyzero(50,1,1)
56.96290427516751320063605
>>> besselyzero(50,2,1)
62.74888166945933944036623
>>> besselyzero(50,100,1)
388.6923300548309258355475
Zeros of functions with fractional order:
>>> besselyzero(0.5,1); besselyzero(1.5,1); besselyzero(2.25,4)
1.570796326794896619231322
2.798386045783887136720249
13.56721208770735123376018
hankel1(n,x) computes the Hankel function of the first kind, which is the complex combination of Bessel functions given by

Plots
# Hankel function H1_n(x) on the real line for n=0,1,2,3
h0 = lambda x: hankel1(0,x)
h1 = lambda x: hankel1(1,x)
h2 = lambda x: hankel1(2,x)
h3 = lambda x: hankel1(3,x)
plot([h0,h1,h2,h3],[0,6],[-2,1])
# Hankel function H1_n(z) in the complex plane
cplot(lambda z: hankel1(1,z), [-8,8], [-8,8], points=50000)
Examples
The Hankel function is generally complex-valued:
>>> from mpmath import *
>>> mp.dps = 25; mp.pretty = True
>>> hankel1(2, pi)
(0.4854339326315091097054957 - 0.0999007139290278787734903j)
>>> hankel1(3.5, pi)
(0.2340002029630507922628888 - 0.6419643823412927142424049j)
hankel2(n,x) computes the Hankel function of the second kind, which is the complex combination of Bessel functions given by

Plots
# Hankel function H2_n(x) on the real line for n=0,1,2,3
h0 = lambda x: hankel2(0,x)
h1 = lambda x: hankel2(1,x)
h2 = lambda x: hankel2(2,x)
h3 = lambda x: hankel2(3,x)
plot([h0,h1,h2,h3],[0,6],[-1,2])
# Hankel function H2_n(z) in the complex plane
cplot(lambda z: hankel2(1,z), [-8,8], [-8,8], points=50000)
Examples
The Hankel function is generally complex-valued:
>>> from mpmath import *
>>> mp.dps = 25; mp.pretty = True
>>> hankel2(2, pi)
(0.4854339326315091097054957 + 0.0999007139290278787734903j)
>>> hankel2(3.5, pi)
(0.2340002029630507922628888 + 0.6419643823412927142424049j)
Computes the Kelvin function ber, which for real arguments gives the real part of the Bessel J function of a rotated argument

The imaginary part is given by bei().
Plots
# Kelvin functions ber_n(x) and bei_n(x) on the real line for n=0,2
f0 = lambda x: ber(0,x)
f1 = lambda x: bei(0,x)
f2 = lambda x: ber(2,x)
f3 = lambda x: bei(2,x)
plot([f0,f1,f2,f3],[0,10],[-10,10])
Examples
Verifying the defining relation:
>>> from mpmath import *
>>> mp.dps = 25; mp.pretty = True
>>> n, x = 2, 3.5
>>> ber(n,x)
1.442338852571888752631129
>>> bei(n,x)
-0.948359035324558320217678
>>> besselj(n, x*root(1,8,3))
(1.442338852571888752631129 - 0.948359035324558320217678j)
The ber and bei functions are also defined by analytic continuation for complex arguments:
>>> ber(1+j, 2+3j)
(4.675445984756614424069563 - 15.84901771719130765656316j)
>>> bei(1+j, 2+3j)
(15.83886679193707699364398 + 4.684053288183046528703611j)
Computes the Kelvin function ker, which for real arguments gives the real part of the (rescaled) Bessel K function of a rotated argument

The imaginary part is given by kei().
Plots
# Kelvin functions ker_n(x) and kei_n(x) on the real line for n=0,2
f0 = lambda x: ker(0,x)
f1 = lambda x: kei(0,x)
f2 = lambda x: ker(2,x)
f3 = lambda x: kei(2,x)
plot([f0,f1,f2,f3],[0,5],[-1,4])
Examples
Verifying the defining relation:
>>> from mpmath import *
>>> mp.dps = 25; mp.pretty = True
>>> n, x = 2, 4.5
>>> ker(n,x)
0.02542895201906369640249801
>>> kei(n,x)
-0.02074960467222823237055351
>>> exp(-n*pi*j/2) * besselk(n, x*root(1,8,1))
(0.02542895201906369640249801 - 0.02074960467222823237055351j)
The ker and kei functions are also defined by analytic continuation for complex arguments:
>>> ker(1+j, 3+4j)
(1.586084268115490421090533 - 2.939717517906339193598719j)
>>> kei(1+j, 3+4j)
(-2.940403256319453402690132 - 1.585621643835618941044855j)
Gives the Struve function

which is a solution to the Struve differential equation

Examples
Evaluation for arbitrary real and complex arguments:
>>> from mpmath import *
>>> mp.dps = 25; mp.pretty = True
>>> struveh(0, 3.5)
0.3608207733778295024977797
>>> struveh(-1, 10)
-0.255212719726956768034732
>>> struveh(1, -100.5)
0.5819566816797362287502246
>>> struveh(2.5, 10000000000000)
3153915652525200060.308937
>>> struveh(2.5, -10000000000000)
(0.0 - 3153915652525200060.308937j)
>>> struveh(1+j, 1000000+4000000j)
(-3.066421087689197632388731e+1737173 - 1.596619701076529803290973e+1737173j)
A Struve function of half-integer order is elementary; for example:
>>> z = 3
>>> struveh(0.5, 3)
0.9167076867564138178671595
>>> sqrt(2/(pi*z))*(1-cos(z))
0.9167076867564138178671595
Numerically verifying the differential equation:
>>> z = mpf(4.5)
>>> n = 3
>>> f = lambda z: struveh(n,z)
>>> lhs = z**2*diff(f,z,2) + z*diff(f,z) + (z**2-n**2)*f(z)
>>> rhs = 2*z**(n+1)/fac2(2*n-1)/pi
>>> lhs
17.40359302709875496632744
>>> rhs
17.40359302709875496632744
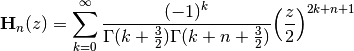
Gives the modified Struve function

which solves to the modified Struve differential equation

Examples
Evaluation for arbitrary real and complex arguments:
>>> from mpmath import *
>>> mp.dps = 25; mp.pretty = True
>>> struvel(0, 3.5)
7.180846515103737996249972
>>> struvel(-1, 10)
2670.994904980850550721511
>>> struvel(1, -100.5)
1.757089288053346261497686e+42
>>> struvel(2.5, 10000000000000)
4.160893281017115450519948e+4342944819025
>>> struvel(2.5, -10000000000000)
(0.0 - 4.160893281017115450519948e+4342944819025j)
>>> struvel(1+j, 700j)
(-0.1721150049480079451246076 + 0.1240770953126831093464055j)
>>> struvel(1+j, 1000000+4000000j)
(-2.973341637511505389128708e+434290 - 5.164633059729968297147448e+434290j)
Numerically verifying the differential equation:
>>> z = mpf(3.5)
>>> n = 3
>>> f = lambda z: struvel(n,z)
>>> lhs = z**2*diff(f,z,2) + z*diff(f,z) - (z**2+n**2)*f(z)
>>> rhs = 2*z**(n+1)/fac2(2*n-1)/pi
>>> lhs
6.368850306060678353018165
>>> rhs
6.368850306060678353018165
Gives the Anger function

which is an entire function of both the parameter
and
the argument
. It solves the inhomogeneous Bessel differential
equation

Examples
Evaluation for real and complex parameter and argument:
>>> from mpmath import *
>>> mp.dps = 25; mp.pretty = True
>>> angerj(2,3)
0.4860912605858910769078311
>>> angerj(-3+4j, 2+5j)
(-5033.358320403384472395612 + 585.8011892476145118551756j)
>>> angerj(3.25, 1e6j)
(4.630743639715893346570743e+434290 - 1.117960409887505906848456e+434291j)
>>> angerj(-1.5, 1e6)
0.0002795719747073879393087011
The Anger function coincides with the Bessel J-function when
is an integer:
>>> angerj(1,3); besselj(1,3)
0.3390589585259364589255146
0.3390589585259364589255146
>>> angerj(1.5,3); besselj(1.5,3)
0.4088969848691080859328847
0.4777182150870917715515015
Verifying the differential equation:
>>> v,z = mpf(2.25), 0.75
>>> f = lambda z: angerj(v,z)
>>> diff(f,z,2) + diff(f,z)/z + (1-(v/z)**2)*f(z)
-0.6002108774380707130367995
>>> (z-v)/(pi*z**2) * sinpi(v)
-0.6002108774380707130367995
Verifying the integral representation:
>>> angerj(v,z)
0.1145380759919333180900501
>>> quad(lambda t: cos(v*t-z*sin(t))/pi, [0,pi])
0.1145380759919333180900501
References
Gives the Weber function

which is an entire function of both the parameter
and
the argument
. It solves the inhomogeneous Bessel differential
equation

Examples
Evaluation for real and complex parameter and argument:
>>> from mpmath import *
>>> mp.dps = 25; mp.pretty = True
>>> webere(2,3)
-0.1057668973099018425662646
>>> webere(-3+4j, 2+5j)
(-585.8081418209852019290498 - 5033.314488899926921597203j)
>>> webere(3.25, 1e6j)
(-1.117960409887505906848456e+434291 - 4.630743639715893346570743e+434290j)
>>> webere(3.25, 1e6)
-0.00002812518265894315604914453
Up to addition of a rational function of
, the Weber function coincides
with the Struve H-function when
is an integer:
>>> webere(1,3); 2/pi-struveh(1,3)
-0.3834897968188690177372881
-0.3834897968188690177372881
>>> webere(5,3); 26/(35*pi)-struveh(5,3)
0.2009680659308154011878075
0.2009680659308154011878075
Verifying the differential equation:
>>> v,z = mpf(2.25), 0.75
>>> f = lambda z: webere(v,z)
>>> diff(f,z,2) + diff(f,z)/z + (1-(v/z)**2)*f(z)
-1.097441848875479535164627
>>> -(z+v+(z-v)*cospi(v))/(pi*z**2)
-1.097441848875479535164627
Verifying the integral representation:
>>> webere(v,z)
0.1486507351534283744485421
>>> quad(lambda t: sin(v*t-z*sin(t))/pi, [0,pi])
0.1486507351534283744485421
References
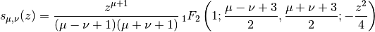
Gives the Lommel function
or 

which solves the inhomogeneous Bessel equation

A second solution is given by lommels2().
Plots
# Lommel function s_(u,v)(x) on the real line for a few different u,v
f1 = lambda x: lommels1(-1,2.5,x)
f2 = lambda x: lommels1(0,0.5,x)
f3 = lambda x: lommels1(0,6,x)
f4 = lambda x: lommels1(0.5,3,x)
plot([f1,f2,f3,f4], [0,20])
Examples
An integral representation:
>>> from mpmath import *
>>> mp.dps = 25; mp.pretty = True
>>> u,v,z = 0.25, 0.125, mpf(0.75)
>>> lommels1(u,v,z)
0.4276243877565150372999126
>>> (bessely(v,z)*quad(lambda t: t**u*besselj(v,t), [0,z]) - \
... besselj(v,z)*quad(lambda t: t**u*bessely(v,t), [0,z]))*(pi/2)
0.4276243877565150372999126
A special value:
>>> lommels1(v,v,z)
0.5461221367746048054932553
>>> gamma(v+0.5)*sqrt(pi)*power(2,v-1)*struveh(v,z)
0.5461221367746048054932553
Verifying the differential equation:
>>> f = lambda z: lommels1(u,v,z)
>>> z**2*diff(f,z,2) + z*diff(f,z) + (z**2-v**2)*f(z)
0.6979536443265746992059141
>>> z**(u+1)
0.6979536443265746992059141
References
Gives the second Lommel function
or 
![S_{\mu,\nu}(z) = s_{\mu,\nu}(z) + 2^{\mu-1}
\Gamma\left(\tfrac{1}{2}(\mu-\nu+1)\right)
\Gamma\left(\tfrac{1}{2}(\mu+\nu+1)\right) \times
\left[\sin(\tfrac{1}{2}(\mu-\nu)\pi) J_{\nu}(z) -
\cos(\tfrac{1}{2}(\mu-\nu)\pi) Y_{\nu}(z)
\right]](../_images/math/8dab34e5a26af52e94b51683d8b3f42ad6a5df59.png)
which solves the same differential equation as lommels1().
Plots
# Lommel function S_(u,v)(x) on the real line for a few different u,v
f1 = lambda x: lommels2(-1,2.5,x)
f2 = lambda x: lommels2(1.5,2,x)
f3 = lambda x: lommels2(2.5,1,x)
f4 = lambda x: lommels2(3.5,-0.5,x)
plot([f1,f2,f3,f4], [0,8], [-8,8])
Examples
For large
,
:
>>> from mpmath import *
>>> mp.dps = 25; mp.pretty = True
>>> lommels2(10,2,30000)
1.968299831601008419949804e+40
>>> power(30000,9)
1.9683e+40
A special value:
>>> u,v,z = 0.5, 0.125, mpf(0.75)
>>> lommels2(v,v,z)
0.9589683199624672099969765
>>> (struveh(v,z)-bessely(v,z))*power(2,v-1)*sqrt(pi)*gamma(v+0.5)
0.9589683199624672099969765
Verifying the differential equation:
>>> f = lambda z: lommels2(u,v,z)
>>> z**2*diff(f,z,2) + z*diff(f,z) + (z**2-v**2)*f(z)
0.6495190528383289850727924
>>> z**(u+1)
0.6495190528383289850727924
References
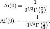
Computes the Airy function
, which is
the solution of the Airy differential equation
with initial conditions

Other common ways of defining the Ai-function include integrals such as

The Ai-function is an entire function with a turning point,
behaving roughly like a slowly decaying sine wave for
and
like a rapidly decreasing exponential for
.
A second solution of the Airy differential equation
is given by
(see airybi()).
Optionally, with derivative=alpha, airyai() can compute the
-th order fractional derivative with respect to
.
For
this gives the derivative
, and for
this gives the
-fold iterated integral

The Ai-function has infinitely many zeros, all located along the negative half of the real axis. They can be computed with airyaizero().
Plots
# Airy function Ai(x), Ai'(x) and int_0^x Ai(t) dt on the real line
f = airyai
f_diff = lambda z: airyai(z, derivative=1)
f_int = lambda z: airyai(z, derivative=-1)
plot([f, f_diff, f_int], [-10,5])
# Airy function Ai(z) in the complex plane
cplot(airyai, [-8,8], [-8,8], points=50000)
Basic examples
Limits and values include:
>>> from mpmath import *
>>> mp.dps = 25; mp.pretty = True
>>> airyai(0); 1/(power(3,'2/3')*gamma('2/3'))
0.3550280538878172392600632
0.3550280538878172392600632
>>> airyai(1)
0.1352924163128814155241474
>>> airyai(-1)
0.5355608832923521187995166
>>> airyai(inf); airyai(-inf)
0.0
0.0
Evaluation is supported for large magnitudes of the argument:
>>> airyai(-100)
0.1767533932395528780908311
>>> airyai(100)
2.634482152088184489550553e-291
>>> airyai(50+50j)
(-5.31790195707456404099817e-68 - 1.163588003770709748720107e-67j)
>>> airyai(-50+50j)
(1.041242537363167632587245e+158 + 3.347525544923600321838281e+157j)
Huge arguments are also fine:
>>> airyai(10**10)
1.162235978298741779953693e-289529654602171
>>> airyai(-10**10)
0.0001736206448152818510510181
>>> w = airyai(10**10*(1+j))
>>> w.real
5.711508683721355528322567e-186339621747698
>>> w.imag
1.867245506962312577848166e-186339621747697
The first root of the Ai-function is:
>>> findroot(airyai, -2)
-2.338107410459767038489197
>>> airyaizero(1)
-2.338107410459767038489197
Properties and relations
Verifying the Airy differential equation:
>>> for z in [-3.4, 0, 2.5, 1+2j]:
... chop(airyai(z,2) - z*airyai(z))
...
0.0
0.0
0.0
0.0
The first few terms of the Taylor series expansion around
(every third term is zero):
>>> nprint(taylor(airyai, 0, 5))
[0.355028, -0.258819, 0.0, 0.0591713, -0.0215683, 0.0]
The Airy functions satisfy the Wronskian relation
:
>>> z = -0.5
>>> airyai(z)*airybi(z,1) - airyai(z,1)*airybi(z)
0.3183098861837906715377675
>>> 1/pi
0.3183098861837906715377675
The Airy functions can be expressed in terms of Bessel
functions of order
. For
, we have:
>>> z = -3
>>> airyai(z)
-0.3788142936776580743472439
>>> y = 2*power(-z,'3/2')/3
>>> (sqrt(-z) * (besselj('1/3',y) + besselj('-1/3',y)))/3
-0.3788142936776580743472439
Derivatives and integrals
Derivatives of the Ai-function (directly and using diff()):
>>> airyai(-3,1); diff(airyai,-3)
0.3145837692165988136507873
0.3145837692165988136507873
>>> airyai(-3,2); diff(airyai,-3,2)
1.136442881032974223041732
1.136442881032974223041732
>>> airyai(1000,1); diff(airyai,1000)
-2.943133917910336090459748e-9156
-2.943133917910336090459748e-9156
Several derivatives at
:
>>> airyai(0,0); airyai(0,1); airyai(0,2)
0.3550280538878172392600632
-0.2588194037928067984051836
0.0
>>> airyai(0,3); airyai(0,4); airyai(0,5)
0.3550280538878172392600632
-0.5176388075856135968103671
0.0
>>> airyai(0,15); airyai(0,16); airyai(0,17)
1292.30211615165475090663
-3188.655054727379756351861
0.0
The integral of the Ai-function:
>>> airyai(3,-1); quad(airyai, [0,3])
0.3299203760070217725002701
0.3299203760070217725002701
>>> airyai(-10,-1); quad(airyai, [0,-10])
-0.765698403134212917425148
-0.765698403134212917425148
Integrals of high or fractional order:
>>> airyai(-2,0.5); differint(airyai,-2,0.5,0)
(0.0 + 0.2453596101351438273844725j)
(0.0 + 0.2453596101351438273844725j)
>>> airyai(-2,-4); differint(airyai,-2,-4,0)
0.2939176441636809580339365
0.2939176441636809580339365
>>> airyai(0,-1); airyai(0,-2); airyai(0,-3)
0.0
0.0
0.0
Integrals of the Ai-function can be evaluated at limit points:
>>> airyai(-1000000,-1); airyai(-inf,-1)
-0.6666843728311539978751512
-0.6666666666666666666666667
>>> airyai(10,-1); airyai(+inf,-1)
0.3333333332991690159427932
0.3333333333333333333333333
>>> airyai(+inf,-2); airyai(+inf,-3)
+inf
+inf
>>> airyai(-1000000,-2); airyai(-inf,-2)
666666.4078472650651209742
+inf
>>> airyai(-1000000,-3); airyai(-inf,-3)
-333333074513.7520264995733
-inf
References
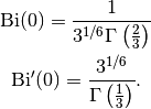
Computes the Airy function
, which is
the solution of the Airy differential equation
with initial conditions

Like the Ai-function (see airyai()), the Bi-function
is oscillatory for
, but it grows rather than decreases
for
.
Optionally, as for airyai(), derivatives, integrals and fractional derivatives can be computed with the derivative parameter.
The Bi-function has infinitely many zeros along the negative half-axis, as well as complex zeros, which can all be computed with airybizero().
Plots
# Airy function Bi(x), Bi'(x) and int_0^x Bi(t) dt on the real line
f = airybi
f_diff = lambda z: airybi(z, derivative=1)
f_int = lambda z: airybi(z, derivative=-1)
plot([f, f_diff, f_int], [-10,2], [-1,2])
# Airy function Bi(z) in the complex plane
cplot(airybi, [-8,8], [-8,8], points=50000)
Basic examples
Limits and values include:
>>> from mpmath import *
>>> mp.dps = 25; mp.pretty = True
>>> airybi(0); 1/(power(3,'1/6')*gamma('2/3'))
0.6149266274460007351509224
0.6149266274460007351509224
>>> airybi(1)
1.207423594952871259436379
>>> airybi(-1)
0.10399738949694461188869
>>> airybi(inf); airybi(-inf)
+inf
0.0
Evaluation is supported for large magnitudes of the argument:
>>> airybi(-100)
0.02427388768016013160566747
>>> airybi(100)
6.041223996670201399005265e+288
>>> airybi(50+50j)
(-5.322076267321435669290334e+63 + 1.478450291165243789749427e+65j)
>>> airybi(-50+50j)
(-3.347525544923600321838281e+157 + 1.041242537363167632587245e+158j)
Huge arguments:
>>> airybi(10**10)
1.369385787943539818688433e+289529654602165
>>> airybi(-10**10)
0.001775656141692932747610973
>>> w = airybi(10**10*(1+j))
>>> w.real
-6.559955931096196875845858e+186339621747689
>>> w.imag
-6.822462726981357180929024e+186339621747690
The first real root of the Bi-function is:
>>> findroot(airybi, -1); airybizero(1)
-1.17371322270912792491998
-1.17371322270912792491998
Properties and relations
Verifying the Airy differential equation:
>>> for z in [-3.4, 0, 2.5, 1+2j]:
... chop(airybi(z,2) - z*airybi(z))
...
0.0
0.0
0.0
0.0
The first few terms of the Taylor series expansion around
(every third term is zero):
>>> nprint(taylor(airybi, 0, 5))
[0.614927, 0.448288, 0.0, 0.102488, 0.0373574, 0.0]
The Airy functions can be expressed in terms of Bessel
functions of order
. For
, we have:
>>> z = -3
>>> airybi(z)
-0.1982896263749265432206449
>>> p = 2*power(-z,'3/2')/3
>>> sqrt(-mpf(z)/3)*(besselj('-1/3',p) - besselj('1/3',p))
-0.1982896263749265432206449
Derivatives and integrals
Derivatives of the Bi-function (directly and using diff()):
>>> airybi(-3,1); diff(airybi,-3)
-0.675611222685258537668032
-0.675611222685258537668032
>>> airybi(-3,2); diff(airybi,-3,2)
0.5948688791247796296619346
0.5948688791247796296619346
>>> airybi(1000,1); diff(airybi,1000)
1.710055114624614989262335e+9156
1.710055114624614989262335e+9156
Several derivatives at
:
>>> airybi(0,0); airybi(0,1); airybi(0,2)
0.6149266274460007351509224
0.4482883573538263579148237
0.0
>>> airybi(0,3); airybi(0,4); airybi(0,5)
0.6149266274460007351509224
0.8965767147076527158296474
0.0
>>> airybi(0,15); airybi(0,16); airybi(0,17)
2238.332923903442675949357
5522.912562599140729510628
0.0
The integral of the Bi-function:
>>> airybi(3,-1); quad(airybi, [0,3])
10.06200303130620056316655
10.06200303130620056316655
>>> airybi(-10,-1); quad(airybi, [0,-10])
-0.01504042480614002045135483
-0.01504042480614002045135483
Integrals of high or fractional order:
>>> airybi(-2,0.5); differint(airybi, -2, 0.5, 0)
(0.0 + 0.5019859055341699223453257j)
(0.0 + 0.5019859055341699223453257j)
>>> airybi(-2,-4); differint(airybi,-2,-4,0)
0.2809314599922447252139092
0.2809314599922447252139092
>>> airybi(0,-1); airybi(0,-2); airybi(0,-3)
0.0
0.0
0.0
Integrals of the Bi-function can be evaluated at limit points:
>>> airybi(-1000000,-1); airybi(-inf,-1)
0.000002191261128063434047966873
0.0
>>> airybi(10,-1); airybi(+inf,-1)
147809803.1074067161675853
+inf
>>> airybi(+inf,-2); airybi(+inf,-3)
+inf
+inf
>>> airybi(-1000000,-2); airybi(-inf,-2)
0.4482883750599908479851085
0.4482883573538263579148237
>>> gamma('2/3')*power(3,'2/3')/(2*pi)
0.4482883573538263579148237
>>> airybi(-100000,-3); airybi(-inf,-3)
-44828.52827206932872493133
-inf
>>> airybi(-100000,-4); airybi(-inf,-4)
2241411040.437759489540248
+inf
Gives the
-th zero of the Airy Ai-function,
i.e. the
-th number
ordered by magnitude for which
.
Optionally, with derivative=1, the corresponding
zero
of the derivative function, i.e.
, is computed.
Examples
Some values of
:
>>> from mpmath import *
>>> mp.dps = 25; mp.pretty = True
>>> airyaizero(1)
-2.338107410459767038489197
>>> airyaizero(2)
-4.087949444130970616636989
>>> airyaizero(3)
-5.520559828095551059129856
>>> airyaizero(1000)
-281.0315196125215528353364
Some values of
:
>>> airyaizero(1,1)
-1.018792971647471089017325
>>> airyaizero(2,1)
-3.248197582179836537875424
>>> airyaizero(3,1)
-4.820099211178735639400616
>>> airyaizero(1000,1)
-280.9378080358935070607097
Verification:
>>> chop(airyai(airyaizero(1)))
0.0
>>> chop(airyai(airyaizero(1,1),1))
0.0
With complex=False, gives the
-th real zero of the Airy Bi-function,
i.e. the
-th number
ordered by magnitude for which
.
With complex=True, gives the
-th complex zero in the upper
half plane
. Also the conjugate
is a zero.
Optionally, with derivative=1, the corresponding
zero
or
of the derivative function, i.e.
or
,
is computed.
Examples
Some values of
:
>>> from mpmath import *
>>> mp.dps = 25; mp.pretty = True
>>> airybizero(1)
-1.17371322270912792491998
>>> airybizero(2)
-3.271093302836352715680228
>>> airybizero(3)
-4.830737841662015932667709
>>> airybizero(1000)
-280.9378112034152401578834
Some values of
:
>>> airybizero(1,1)
-2.294439682614123246622459
>>> airybizero(2,1)
-4.073155089071828215552369
>>> airybizero(3,1)
-5.512395729663599496259593
>>> airybizero(1000,1)
-281.0315164471118527161362
Some values of
:
>>> airybizero(1,complex=True)
(0.9775448867316206859469927 + 2.141290706038744575749139j)
>>> airybizero(2,complex=True)
(1.896775013895336346627217 + 3.627291764358919410440499j)
>>> airybizero(3,complex=True)
(2.633157739354946595708019 + 4.855468179979844983174628j)
>>> airybizero(1000,complex=True)
(140.4978560578493018899793 + 243.3907724215792121244867j)
Some values of
:
>>> airybizero(1,1,complex=True)
(0.2149470745374305676088329 + 1.100600143302797880647194j)
>>> airybizero(2,1,complex=True)
(1.458168309223507392028211 + 2.912249367458445419235083j)
>>> airybizero(3,1,complex=True)
(2.273760763013482299792362 + 4.254528549217097862167015j)
>>> airybizero(1000,1,complex=True)
(140.4509972835270559730423 + 243.3096175398562811896208j)
Verification:
>>> chop(airybi(airybizero(1)))
0.0
>>> chop(airybi(airybizero(1,1),1))
0.0
>>> u = airybizero(1,complex=True)
>>> chop(airybi(u))
0.0
>>> chop(airybi(conj(u)))
0.0
The complex zeros (in the upper and lower half-planes respectively)
asymptotically approach the rays
:
>>> arg(airybizero(1,complex=True))
1.142532510286334022305364
>>> arg(airybizero(1000,complex=True))
1.047271114786212061583917
>>> arg(airybizero(1000000,complex=True))
1.047197624741816183341355
>>> pi/3
1.047197551196597746154214
Evaluates the Scorer function

which gives a particular solution to the inhomogeneous Airy
differential equation
. Another
particular solution is given by the Scorer Hi-function
(scorerhi()). The two functions are related as
.
Plots
# Scorer function Gi(x) and Gi'(x) on the real line
plot([scorergi, diffun(scorergi)], [-10,10])
# Scorer function Gi(z) in the complex plane
cplot(scorergi, [-8,8], [-8,8], points=50000)
Examples
Some values and limits:
>>> from mpmath import *
>>> mp.dps = 25; mp.pretty = True
>>> scorergi(0); 1/(power(3,'7/6')*gamma('2/3'))
0.2049755424820002450503075
0.2049755424820002450503075
>>> diff(scorergi, 0); 1/(power(3,'5/6')*gamma('1/3'))
0.1494294524512754526382746
0.1494294524512754526382746
>>> scorergi(+inf); scorergi(-inf)
0.0
0.0
>>> scorergi(1)
0.2352184398104379375986902
>>> scorergi(-1)
-0.1166722172960152826494198
Evaluation for large arguments:
>>> scorergi(10)
0.03189600510067958798062034
>>> scorergi(100)
0.003183105228162961476590531
>>> scorergi(1000000)
0.0000003183098861837906721743873
>>> 1/(pi*1000000)
0.0000003183098861837906715377675
>>> scorergi(-1000)
-0.08358288400262780392338014
>>> scorergi(-100000)
0.02886866118619660226809581
>>> scorergi(50+10j)
(0.0061214102799778578790984 - 0.001224335676457532180747917j)
>>> scorergi(-50-10j)
(5.236047850352252236372551e+29 - 3.08254224233701381482228e+29j)
>>> scorergi(100000j)
(-8.806659285336231052679025e+6474077 + 8.684731303500835514850962e+6474077j)
Verifying the connection between Gi and Hi:
>>> z = 0.25
>>> scorergi(z) + scorerhi(z)
0.7287469039362150078694543
>>> airybi(z)
0.7287469039362150078694543
Verifying the differential equation:
>>> for z in [-3.4, 0, 2.5, 1+2j]:
... chop(diff(scorergi,z,2) - z*scorergi(z))
...
-0.3183098861837906715377675
-0.3183098861837906715377675
-0.3183098861837906715377675
-0.3183098861837906715377675
Verifying the integral representation:
>>> z = 0.5
>>> scorergi(z)
0.2447210432765581976910539
>>> Ai,Bi = airyai,airybi
>>> Bi(z)*(Ai(inf,-1)-Ai(z,-1)) + Ai(z)*(Bi(z,-1)-Bi(0,-1))
0.2447210432765581976910539
References
Evaluates the second Scorer function

which gives a particular solution to the inhomogeneous Airy
differential equation
. See also
scorergi().
Plots
# Scorer function Hi(x) and Hi'(x) on the real line
plot([scorerhi, diffun(scorerhi)], [-10,2], [0,2])
# Scorer function Hi(z) in the complex plane
cplot(scorerhi, [-8,8], [-8,8], points=50000)
Examples
Some values and limits:
>>> from mpmath import *
>>> mp.dps = 25; mp.pretty = True
>>> scorerhi(0); 2/(power(3,'7/6')*gamma('2/3'))
0.4099510849640004901006149
0.4099510849640004901006149
>>> diff(scorerhi,0); 2/(power(3,'5/6')*gamma('1/3'))
0.2988589049025509052765491
0.2988589049025509052765491
>>> scorerhi(+inf); scorerhi(-inf)
+inf
0.0
>>> scorerhi(1)
0.9722051551424333218376886
>>> scorerhi(-1)
0.2206696067929598945381098
Evaluation for large arguments:
>>> scorerhi(10)
455641153.5163291358991077
>>> scorerhi(100)
6.041223996670201399005265e+288
>>> scorerhi(1000000)
7.138269638197858094311122e+289529652
>>> scorerhi(-10)
0.0317685352825022727415011
>>> scorerhi(-100)
0.003183092495767499864680483
>>> scorerhi(100j)
(-6.366197716545672122983857e-9 + 0.003183098861710582761688475j)
>>> scorerhi(50+50j)
(-5.322076267321435669290334e+63 + 1.478450291165243789749427e+65j)
>>> scorerhi(-1000-1000j)
(0.0001591549432510502796565538 - 0.000159154943091895334973109j)
Verifying the differential equation:
>>> for z in [-3.4, 0, 2, 1+2j]:
... chop(diff(scorerhi,z,2) - z*scorerhi(z))
...
0.3183098861837906715377675
0.3183098861837906715377675
0.3183098861837906715377675
0.3183098861837906715377675
Verifying the integral representation:
>>> z = 0.5
>>> scorerhi(z)
0.6095559998265972956089949
>>> Ai,Bi = airyai,airybi
>>> Bi(z)*(Ai(z,-1)-Ai(-inf,-1)) - Ai(z)*(Bi(z,-1)-Bi(-inf,-1))
0.6095559998265972956089949
Calculates the regular Coulomb wave function

where the normalization constant
is as calculated by
coulombc(). This function solves the differential equation

A second linearly independent solution is given by the irregular
Coulomb wave function
(see coulombg())
and thus the general solution is
for arbitrary
constants
,
.
Physically, the Coulomb wave functions give the radial solution
to the Schrodinger equation for a point particle in a
potential;
is
then the radius and
,
are quantum numbers.
The Coulomb wave functions with real parameters are defined in Abramowitz & Stegun, section 14. However, all parameters are permitted to be complex in this implementation (see references).
Plots
# Regular Coulomb wave functions -- equivalent to figure 14.3 in A&S
F1 = lambda x: coulombf(0,0,x)
F2 = lambda x: coulombf(0,1,x)
F3 = lambda x: coulombf(0,5,x)
F4 = lambda x: coulombf(0,10,x)
F5 = lambda x: coulombf(0,x/2,x)
plot([F1,F2,F3,F4,F5], [0,25], [-1.2,1.6])
# Regular Coulomb wave function in the complex plane
cplot(lambda z: coulombf(1,1,z), points=50000)
Examples
Evaluation is supported for arbitrary magnitudes of
:
>>> from mpmath import *
>>> mp.dps = 25; mp.pretty = True
>>> coulombf(2, 1.5, 3.5)
0.4080998961088761187426445
>>> coulombf(-2, 1.5, 3.5)
0.7103040849492536747533465
>>> coulombf(2, 1.5, '1e-10')
4.143324917492256448770769e-33
>>> coulombf(2, 1.5, 1000)
0.4482623140325567050716179
>>> coulombf(2, 1.5, 10**10)
-0.066804196437694360046619
Verifying the differential equation:
>>> l, eta, z = 2, 3, mpf(2.75)
>>> A, B = 1, 2
>>> f = lambda z: A*coulombf(l,eta,z) + B*coulombg(l,eta,z)
>>> chop(diff(f,z,2) + (1-2*eta/z - l*(l+1)/z**2)*f(z))
0.0
A Wronskian relation satisfied by the Coulomb wave functions:
>>> l = 2
>>> eta = 1.5
>>> F = lambda z: coulombf(l,eta,z)
>>> G = lambda z: coulombg(l,eta,z)
>>> for z in [3.5, -1, 2+3j]:
... chop(diff(F,z)*G(z) - F(z)*diff(G,z))
...
1.0
1.0
1.0
Another Wronskian relation:
>>> F = coulombf
>>> G = coulombg
>>> for z in [3.5, -1, 2+3j]:
... chop(F(l-1,eta,z)*G(l,eta,z)-F(l,eta,z)*G(l-1,eta,z) - l/sqrt(l**2+eta**2))
...
0.0
0.0
0.0
An integral identity connecting the regular and irregular wave functions:
>>> l, eta, z = 4+j, 2-j, 5+2j
>>> coulombf(l,eta,z) + j*coulombg(l,eta,z)
(0.7997977752284033239714479 + 0.9294486669502295512503127j)
>>> g = lambda t: exp(-t)*t**(l-j*eta)*(t+2*j*z)**(l+j*eta)
>>> j*exp(-j*z)*z**(-l)/fac(2*l+1)/coulombc(l,eta)*quad(g, [0,inf])
(0.7997977752284033239714479 + 0.9294486669502295512503127j)
Some test case with complex parameters, taken from Michel [2]:
>>> mp.dps = 15
>>> coulombf(1+0.1j, 50+50j, 100.156)
(-1.02107292320897e+15 - 2.83675545731519e+15j)
>>> coulombg(1+0.1j, 50+50j, 100.156)
(2.83675545731519e+15 - 1.02107292320897e+15j)
>>> coulombf(1e-5j, 10+1e-5j, 0.1+1e-6j)
(4.30566371247811e-14 - 9.03347835361657e-19j)
>>> coulombg(1e-5j, 10+1e-5j, 0.1+1e-6j)
(778709182061.134 + 18418936.2660553j)
The following reproduces a table in Abramowitz & Stegun, at twice the precision:
>>> mp.dps = 10
>>> eta = 2; z = 5
>>> for l in [5, 4, 3, 2, 1, 0]:
... print("%s %s %s" % (l, coulombf(l,eta,z),
... diff(lambda z: coulombf(l,eta,z), z)))
...
5 0.09079533488 0.1042553261
4 0.2148205331 0.2029591779
3 0.4313159311 0.320534053
2 0.7212774133 0.3952408216
1 0.9935056752 0.3708676452
0 1.143337392 0.2937960375
References
,
and
”, http://arxiv.org/abs/physics/0702051v1Calculates the irregular Coulomb wave function

where
and
.
See coulombf() for additional information.
Plots
# Irregular Coulomb wave functions -- equivalent to figure 14.5 in A&S
F1 = lambda x: coulombg(0,0,x)
F2 = lambda x: coulombg(0,1,x)
F3 = lambda x: coulombg(0,5,x)
F4 = lambda x: coulombg(0,10,x)
F5 = lambda x: coulombg(0,x/2,x)
plot([F1,F2,F3,F4,F5], [0,30], [-2,2])
# Irregular Coulomb wave function in the complex plane
cplot(lambda z: coulombg(1,1,z), points=50000)
Examples
Evaluation is supported for arbitrary magnitudes of
:
>>> from mpmath import *
>>> mp.dps = 25; mp.pretty = True
>>> coulombg(-2, 1.5, 3.5)
1.380011900612186346255524
>>> coulombg(2, 1.5, 3.5)
1.919153700722748795245926
>>> coulombg(-2, 1.5, '1e-10')
201126715824.7329115106793
>>> coulombg(-2, 1.5, 1000)
0.1802071520691149410425512
>>> coulombg(-2, 1.5, 10**10)
0.652103020061678070929794
The following reproduces a table in Abramowitz & Stegun, at twice the precision:
>>> mp.dps = 10
>>> eta = 2; z = 5
>>> for l in [1, 2, 3, 4, 5]:
... print("%s %s %s" % (l, coulombg(l,eta,z),
... -diff(lambda z: coulombg(l,eta,z), z)))
...
1 1.08148276 0.6028279961
2 1.496877075 0.5661803178
3 2.048694714 0.7959909551
4 3.09408669 1.731802374
5 5.629840456 4.549343289
Evaluation close to the singularity at
:
>>> mp.dps = 15
>>> coulombg(0,10,1)
3088184933.67358
>>> coulombg(0,10,'1e-10')
5554866000719.8
>>> coulombg(0,10,'1e-100')
5554866221524.1
Evaluation with a half-integer value for
:
>>> coulombg(1.5, 1, 10)
0.852320038297334
Gives the normalizing Gamow constant for Coulomb wave functions,
![C_l(\eta) = 2^l \exp\left(-\pi \eta/2 + [\ln \Gamma(1+l+i\eta) +
\ln \Gamma(1+l-i\eta)]/2 - \ln \Gamma(2l+2)\right),](../_images/math/26d0b364726fbe56802ea8af9b4d5ad755594b7f.png)
where the log gamma function with continuous imaginary part away from the negative half axis (see loggamma()) is implied.
This function is used internally for the calculation of
Coulomb wave functions, and automatically cached to make multiple
evaluations with fixed
,
fast.
Gives the Tricomi confluent hypergeometric function
, also known as
the Kummer or confluent hypergeometric function of the second kind. This
function gives a second linearly independent solution to the confluent
hypergeometric differential equation (the first is provided by
–
see hyp1f1()).
Examples
Evaluation for arbitrary complex arguments:
>>> from mpmath import *
>>> mp.dps = 25; mp.pretty = True
>>> hyperu(2,3,4)
0.0625
>>> hyperu(0.25, 5, 1000)
0.1779949416140579573763523
>>> hyperu(0.25, 5, -1000)
(0.1256256609322773150118907 - 0.1256256609322773150118907j)
The
function may be singular at
:
>>> hyperu(1.5, 2, 0)
+inf
>>> hyperu(1.5, -2, 0)
0.1719434921288400112603671
Verifying the differential equation:
>>> a, b = 1.5, 2
>>> f = lambda z: hyperu(a,b,z)
>>> for z in [-10, 3, 3+4j]:
... chop(z*diff(f,z,2) + (b-z)*diff(f,z) - a*f(z))
...
0.0
0.0
0.0
An integral representation:
>>> a,b,z = 2, 3.5, 4.25
>>> hyperu(a,b,z)
0.06674960718150520648014567
>>> quad(lambda t: exp(-z*t)*t**(a-1)*(1+t)**(b-a-1),[0,inf]) / gamma(a)
0.06674960718150520648014567
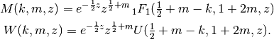
Evaluates the Whittaker function
, which gives a solution
to the Whittaker differential equation

A second solution is given by whitw().
The Whittaker functions are defined in Abramowitz & Stegun, section 13.1.
They are alternate forms of the confluent hypergeometric functions
and
:

Examples
Evaluation for arbitrary real and complex arguments is supported:
>>> from mpmath import *
>>> mp.dps = 25; mp.pretty = True
>>> whitm(1, 1, 1)
0.7302596799460411820509668
>>> whitm(1, 1, -1)
(0.0 - 1.417977827655098025684246j)
>>> whitm(j, j/2, 2+3j)
(3.245477713363581112736478 - 0.822879187542699127327782j)
>>> whitm(2, 3, 100000)
4.303985255686378497193063e+21707
Evaluation at zero:
>>> whitm(1,-1,0); whitm(1,-0.5,0); whitm(1,0,0)
+inf
nan
0.0
We can verify that whitm() numerically satisfies the differential equation for arbitrarily chosen values:
>>> k = mpf(0.25)
>>> m = mpf(1.5)
>>> f = lambda z: whitm(k,m,z)
>>> for z in [-1, 2.5, 3, 1+2j]:
... chop(diff(f,z,2) + (-0.25 + k/z + (0.25-m**2)/z**2)*f(z))
...
0.0
0.0
0.0
0.0
An integral involving both whitm() and whitw(), verifying evaluation along the real axis:
>>> quad(lambda x: exp(-x)*whitm(3,2,x)*whitw(1,-2,x), [0,inf])
3.438869842576800225207341
>>> 128/(21*sqrt(pi))
3.438869842576800225207341
Evaluates the Whittaker function
, which gives a second
solution to the Whittaker differential equation. (See whitm().)
Examples
Evaluation for arbitrary real and complex arguments is supported:
>>> from mpmath import *
>>> mp.dps = 25; mp.pretty = True
>>> whitw(1, 1, 1)
1.19532063107581155661012
>>> whitw(1, 1, -1)
(-0.9424875979222187313924639 - 0.2607738054097702293308689j)
>>> whitw(j, j/2, 2+3j)
(0.1782899315111033879430369 - 0.01609578360403649340169406j)
>>> whitw(2, 3, 100000)
1.887705114889527446891274e-21705
>>> whitw(-1, -1, 100)
1.905250692824046162462058e-24
Evaluation at zero:
>>> for m in [-1, -0.5, 0, 0.5, 1]:
... whitw(1, m, 0)
...
+inf
nan
0.0
nan
+inf
We can verify that whitw() numerically satisfies the differential equation for arbitrarily chosen values:
>>> k = mpf(0.25)
>>> m = mpf(1.5)
>>> f = lambda z: whitw(k,m,z)
>>> for z in [-1, 2.5, 3, 1+2j]:
... chop(diff(f,z,2) + (-0.25 + k/z + (0.25-m**2)/z**2)*f(z))
...
0.0
0.0
0.0
0.0
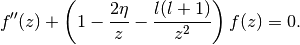
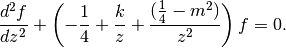
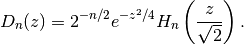
Gives the parabolic cylinder function in Whittaker’s notation
(see pcfu()).
It solves the differential equation

and can be represented in terms of Hermite polynomials (see hermite()) as

Plots
# Parabolic cylinder function D_n(x) on the real line for n=0,1,2,3,4
d0 = lambda x: pcfd(0,x)
d1 = lambda x: pcfd(1,x)
d2 = lambda x: pcfd(2,x)
d3 = lambda x: pcfd(3,x)
d4 = lambda x: pcfd(4,x)
plot([d0,d1,d2,d3,d4],[-7,7])
Examples
>>> from mpmath import *
>>> mp.dps = 25; mp.pretty = True
>>> pcfd(0,0); pcfd(1,0); pcfd(2,0); pcfd(3,0)
1.0
0.0
-1.0
0.0
>>> pcfd(4,0); pcfd(-3,0)
3.0
0.6266570686577501256039413
>>> pcfd('1/2', 2+3j)
(-5.363331161232920734849056 - 3.858877821790010714163487j)
>>> pcfd(2, -10)
1.374906442631438038871515e-9
Verifying the differential equation:
>>> n = mpf(2.5)
>>> y = lambda z: pcfd(n,z)
>>> z = 1.75
>>> chop(diff(y,z,2) + (n+0.5-0.25*z**2)*y(z))
0.0
Rational Taylor series expansion when
is an integer:
>>> taylor(lambda z: pcfd(5,z), 0, 7)
[0.0, 15.0, 0.0, -13.75, 0.0, 3.96875, 0.0, -0.6015625]
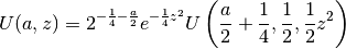
Gives the parabolic cylinder function
, which may be
defined for
in terms of the confluent
U-function (see hyperu()) by

or, for arbitrary
,

Examples
Connection to other functions:
>>> from mpmath import *
>>> mp.dps = 25; mp.pretty = True
>>> z = mpf(3)
>>> pcfu(0.5,z)
0.03210358129311151450551963
>>> sqrt(pi/2)*exp(z**2/4)*erfc(z/sqrt(2))
0.03210358129311151450551963
>>> pcfu(0.5,-z)
23.75012332835297233711255
>>> sqrt(pi/2)*exp(z**2/4)*erfc(-z/sqrt(2))
23.75012332835297233711255
>>> pcfu(0.5,-z)
23.75012332835297233711255
>>> sqrt(pi/2)*exp(z**2/4)*erfc(-z/sqrt(2))
23.75012332835297233711255
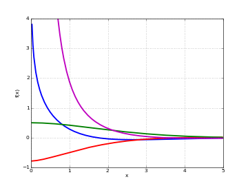
Gives the parabolic cylinder function
, which can be
represented in terms of pcfu() as

Examples
Wronskian relation between
and
:
>>> from mpmath import *
>>> mp.dps = 25; mp.pretty = True
>>> a, z = 2, 3
>>> pcfu(a,z)*diff(pcfv,(a,z),(0,1))-diff(pcfu,(a,z),(0,1))*pcfv(a,z)
0.7978845608028653558798921
>>> sqrt(2/pi)
0.7978845608028653558798921
>>> a, z = 2.5, 3
>>> pcfu(a,z)*diff(pcfv,(a,z),(0,1))-diff(pcfu,(a,z),(0,1))*pcfv(a,z)
0.7978845608028653558798921
>>> a, z = 0.25, -1
>>> pcfu(a,z)*diff(pcfv,(a,z),(0,1))-diff(pcfu,(a,z),(0,1))*pcfv(a,z)
0.7978845608028653558798921
>>> a, z = 2+1j, 2+3j
>>> chop(pcfu(a,z)*diff(pcfv,(a,z),(0,1))-diff(pcfu,(a,z),(0,1))*pcfv(a,z))
0.7978845608028653558798921
Gives the parabolic cylinder function
defined in (DLMF 12.14).
Examples
Value at the origin:
>>> from mpmath import *
>>> mp.dps = 25; mp.pretty = True
>>> a = mpf(0.25)
>>> pcfw(a,0)
0.9722833245718180765617104
>>> power(2,-0.75)*sqrt(abs(gamma(0.25+0.5j*a)/gamma(0.75+0.5j*a)))
0.9722833245718180765617104
>>> diff(pcfw,(a,0),(0,1))
-0.5142533944210078966003624
>>> -power(2,-0.25)*sqrt(abs(gamma(0.75+0.5j*a)/gamma(0.25+0.5j*a)))
-0.5142533944210078966003624
Exponential integrals and error functions
Enter search terms or a module, class or function name.