Hypergeometric functions

The functions listed in Exponential integrals and error functions, Bessel functions and related functions and Orthogonal polynomials, and many other functions as well, are merely particular instances of the generalized hypergeometric function \,_pF_q. The functions listed in the following section enable efficient direct evaluation of the underlying hypergeometric series, as well as linear combinations, limits with respect to parameters, and analytic continuations thereof. Extensions to twodimensional series are also provided. See also the basic or q-analog of the hypergeometric series in q-functions.

For convenience, most of the hypergeometric series of low order are provided as standalone functions. They can equivalently be evaluated using hyper(). As will be demonstrated in the respective docstrings, all the hyp#f# functions implement analytic continuations and/or asymptotic expansions with respect to the argument z, thereby permitting evaluation for z anywhere in the complex plane. Functions of higher degree can be computed via hyper(), but generally only in rapidly convergent instances.

Most hypergeometric and hypergeometric-derived functions accept optional keyword arguments to specify options for hypercomb() or hyper(). Some useful options are maxprec, maxterms, zeroprec, accurate_small, hmag, force_series, asymp_tol and eliminate. These options give control over what to do in case of slow convergence, extreme loss of accuracy or evaluation at zeros (these two cases cannot generally be distinguished from each other automatically), and singular parameter combinations.

Common hypergeometric series

hyp0f1()

mpmath.hyp0f1(a, z)

Gives the hypergeometric function \,_0F_1, sometimes known as the confluent limit function, defined as

\,_0F_1(a,z) = \sum_{k=0}^{\infty} \frac{1}{(a)_k} \frac{z^k}{k!}.

This function satisfies the differential equation z f''(z) + a f'(z) = f(z), and is related to the Bessel function of the first kind (see besselj()).

hyp0f1(a,z) is equivalent to hyper([],[a],z); see documentation for hyper() for more information.

Examples

Evaluation for arbitrary arguments:

>>> from mpmath import *
>>> mp.dps = 25; mp.pretty = True
>>> hyp0f1(2, 0.25)
1.130318207984970054415392
>>> hyp0f1((1,2), 1234567)
6.27287187546220705604627e+964
>>> hyp0f1(3+4j, 1000000j)
(3.905169561300910030267132e+606 + 3.807708544441684513934213e+606j)

Evaluation is supported for arbitrarily large values of z, using asymptotic expansions:

>>> hyp0f1(1, 10**50)
2.131705322874965310390701e+8685889638065036553022565
>>> hyp0f1(1, -10**50)
1.115945364792025420300208e-13

Verifying the differential equation:

>>> a = 2.5
>>> f = lambda z: hyp0f1(a,z)
>>> for z in [0, 10, 3+4j]:
...     chop(z*diff(f,z,2) + a*diff(f,z) - f(z))
...
0.0
0.0
0.0

hyp1f1()

mpmath.hyp1f1(a, b, z)

Gives the confluent hypergeometric function of the first kind,

\,_1F_1(a,b,z) = \sum_{k=0}^{\infty} \frac{(a)_k}{(b)_k} \frac{z^k}{k!},

also known as Kummer’s function and sometimes denoted by M(a,b,z). This function gives one solution to the confluent (Kummer’s) differential equation

z f''(z) + (b-z) f'(z) - af(z) = 0.

A second solution is given by the U function; see hyperu(). Solutions are also given in an alternate form by the Whittaker functions (whitm(), whitw()).

hyp1f1(a,b,z) is equivalent to hyper([a],[b],z); see documentation for hyper() for more information.

Examples

Evaluation for real and complex values of the argument z, with fixed parameters a = 2, b = -1/3:

>>> from mpmath import *
>>> mp.dps = 25; mp.pretty = True
>>> hyp1f1(2, (-1,3), 3.25)
-2815.956856924817275640248
>>> hyp1f1(2, (-1,3), -3.25)
-1.145036502407444445553107
>>> hyp1f1(2, (-1,3), 1000)
-8.021799872770764149793693e+441
>>> hyp1f1(2, (-1,3), -1000)
0.000003131987633006813594535331
>>> hyp1f1(2, (-1,3), 100+100j)
(-3.189190365227034385898282e+48 - 1.106169926814270418999315e+49j)

Parameters may be complex:

>>> hyp1f1(2+3j, -1+j, 10j)
(261.8977905181045142673351 + 160.8930312845682213562172j)

Arbitrarily large values of z are supported:

>>> hyp1f1(3, 4, 10**20)
3.890569218254486878220752e+43429448190325182745
>>> hyp1f1(3, 4, -10**20)
6.0e-60
>>> hyp1f1(3, 4, 10**20*j)
(-1.935753855797342532571597e-20 - 2.291911213325184901239155e-20j)

Verifying the differential equation:

>>> a, b = 1.5, 2
>>> f = lambda z: hyp1f1(a,b,z)
>>> for z in [0, -10, 3, 3+4j]:
...     chop(z*diff(f,z,2) + (b-z)*diff(f,z) - a*f(z))
...
0.0
0.0
0.0
0.0

An integral representation:

>>> a, b = 1.5, 3
>>> z = 1.5
>>> hyp1f1(a,b,z)
2.269381460919952778587441
>>> g = lambda t: exp(z*t)*t**(a-1)*(1-t)**(b-a-1)
>>> gammaprod([b],[a,b-a])*quad(g, [0,1])
2.269381460919952778587441

hyp1f2()

mpmath.hyp1f2(a1, b1, b2, z)

Gives the hypergeometric function \,_1F_2(a_1,a_2;b_1,b_2; z). The call hyp1f2(a1,b1,b2,z) is equivalent to hyper([a1],[b1,b2],z).

Evaluation works for complex and arbitrarily large arguments:

>>> from mpmath import *
>>> mp.dps = 25; mp.pretty = True
>>> a, b, c = 1.5, (-1,3), 2.25
>>> hyp1f2(a, b, c, 10**20)
-1.159388148811981535941434e+8685889639
>>> hyp1f2(a, b, c, -10**20)
-12.60262607892655945795907
>>> hyp1f2(a, b, c, 10**20*j)
(4.237220401382240876065501e+6141851464 - 2.950930337531768015892987e+6141851464j)
>>> hyp1f2(2+3j, -2j, 0.5j, 10-20j)
(135881.9905586966432662004 - 86681.95885418079535738828j)

hyp2f0()

mpmath.hyp2f0(a, b, z)

Gives the hypergeometric function \,_2F_0, defined formally by the series

\,_2F_0(a,b;;z) = \sum_{n=0}^{\infty} (a)_n (b)_n \frac{z^n}{n!}.

This series usually does not converge. For small enough z, it can be viewed as an asymptotic series that may be summed directly with an appropriate truncation. When this is not the case, hyp2f0() gives a regularized sum, or equivalently, it uses a representation in terms of the hypergeometric U function [1]. The series also converges when either a or b is a nonpositive integer, as it then terminates into a polynomial after -a or -b terms.

Examples

Evaluation is supported for arbitrary complex arguments:

>>> from mpmath import *
>>> mp.dps = 25; mp.pretty = True
>>> hyp2f0((2,3), 1.25, -100)
0.07095851870980052763312791
>>> hyp2f0((2,3), 1.25, 100)
(-0.03254379032170590665041131 + 0.07269254613282301012735797j)
>>> hyp2f0(-0.75, 1-j, 4j)
(-0.3579987031082732264862155 - 3.052951783922142735255881j)

Even with real arguments, the regularized value of 2F0 is often complex-valued, but the imaginary part decreases exponentially as z \to 0. In the following example, the first call uses complex evaluation while the second has a small enough z to evaluate using the direct series and thus the returned value is strictly real (this should be taken to indicate that the imaginary part is less than eps):

>>> mp.dps = 15
>>> hyp2f0(1.5, 0.5, 0.05)
(1.04166637647907 + 8.34584913683906e-8j)
>>> hyp2f0(1.5, 0.5, 0.0005)
1.00037535207621

The imaginary part can be retrieved by increasing the working precision:

>>> mp.dps = 80
>>> nprint(hyp2f0(1.5, 0.5, 0.009).imag)
1.23828e-46

In the polynomial case (the series terminating), 2F0 can evaluate exactly:

>>> mp.dps = 15
>>> hyp2f0(-6,-6,2)
291793.0
>>> identify(hyp2f0(-2,1,0.25))
'(5/8)'

The coefficients of the polynomials can be recovered using Taylor expansion:

>>> nprint(taylor(lambda x: hyp2f0(-3,0.5,x), 0, 10))
[1.0, -1.5, 2.25, -1.875, 0.0, 0.0, 0.0, 0.0, 0.0, 0.0, 0.0]
>>> nprint(taylor(lambda x: hyp2f0(-4,0.5,x), 0, 10))
[1.0, -2.0, 4.5, -7.5, 6.5625, 0.0, 0.0, 0.0, 0.0, 0.0, 0.0]

[1] http://people.math.sfu.ca/~cbm/aands/page_504.htm

hyp2f1()

mpmath.hyp2f1(a, b, c, z)

Gives the Gauss hypergeometric function \,_2F_1 (often simply referred to as the hypergeometric function), defined for |z| < 1 as

\,_2F_1(a,b,c,z) = \sum_{k=0}^{\infty}
    \frac{(a)_k (b)_k}{(c)_k} \frac{z^k}{k!}.

and for |z| \ge 1 by analytic continuation, with a branch cut on (1, \infty) when necessary.

Special cases of this function include many of the orthogonal polynomials as well as the incomplete beta function and other functions. Properties of the Gauss hypergeometric function are documented comprehensively in many references, for example Abramowitz & Stegun, section 15.

The implementation supports the analytic continuation as well as evaluation close to the unit circle where |z| \approx 1. The syntax hyp2f1(a,b,c,z) is equivalent to hyper([a,b],[c],z).

Examples

Evaluation with z inside, outside and on the unit circle, for fixed parameters:

>>> from mpmath import *
>>> mp.dps = 25; mp.pretty = True
>>> hyp2f1(2, (1,2), 4, 0.75)
1.303703703703703703703704
>>> hyp2f1(2, (1,2), 4, -1.75)
0.7431290566046919177853916
>>> hyp2f1(2, (1,2), 4, 1.75)
(1.418075801749271137026239 - 1.114976146679907015775102j)
>>> hyp2f1(2, (1,2), 4, 1)
1.6
>>> hyp2f1(2, (1,2), 4, -1)
0.8235498012182875315037882
>>> hyp2f1(2, (1,2), 4, j)
(0.9144026291433065674259078 + 0.2050415770437884900574923j)
>>> hyp2f1(2, (1,2), 4, 2+j)
(0.9274013540258103029011549 + 0.7455257875808100868984496j)
>>> hyp2f1(2, (1,2), 4, 0.25j)
(0.9931169055799728251931672 + 0.06154836525312066938147793j)

Evaluation with complex parameter values:

>>> hyp2f1(1+j, 0.75, 10j, 1+5j)
(0.8834833319713479923389638 + 0.7053886880648105068343509j)

Evaluation with z = 1:

>>> hyp2f1(-2.5, 3.5, 1.5, 1)
0.0
>>> hyp2f1(-2.5, 3, 4, 1)
0.06926406926406926406926407
>>> hyp2f1(2, 3, 4, 1)
+inf

Evaluation for huge arguments:

>>> hyp2f1((-1,3), 1.75, 4, '1e100')
(7.883714220959876246415651e+32 + 1.365499358305579597618785e+33j)
>>> hyp2f1((-1,3), 1.75, 4, '1e1000000')
(7.883714220959876246415651e+333332 + 1.365499358305579597618785e+333333j)
>>> hyp2f1((-1,3), 1.75, 4, '1e1000000j')
(1.365499358305579597618785e+333333 - 7.883714220959876246415651e+333332j)

An integral representation:

>>> a,b,c,z = -0.5, 1, 2.5, 0.25
>>> g = lambda t: t**(b-1) * (1-t)**(c-b-1) * (1-t*z)**(-a)
>>> gammaprod([c],[b,c-b]) * quad(g, [0,1])
0.9480458814362824478852618
>>> hyp2f1(a,b,c,z)
0.9480458814362824478852618

Verifying the hypergeometric differential equation:

>>> f = lambda z: hyp2f1(a,b,c,z)
>>> chop(z*(1-z)*diff(f,z,2) + (c-(a+b+1)*z)*diff(f,z) - a*b*f(z))
0.0

hyp2f2()

mpmath.hyp2f2(a1, a2, b1, b2, z)

Gives the hypergeometric function \,_2F_2(a_1,a_2;b_1,b_2; z). The call hyp2f2(a1,a2,b1,b2,z) is equivalent to hyper([a1,a2],[b1,b2],z).

Evaluation works for complex and arbitrarily large arguments:

>>> from mpmath import *
>>> mp.dps = 25; mp.pretty = True
>>> a, b, c, d = 1.5, (-1,3), 2.25, 4
>>> hyp2f2(a, b, c, d, 10**20)
-5.275758229007902299823821e+43429448190325182663
>>> hyp2f2(a, b, c, d, -10**20)
2561445.079983207701073448
>>> hyp2f2(a, b, c, d, 10**20*j)
(2218276.509664121194836667 - 1280722.539991603850462856j)
>>> hyp2f2(2+3j, -2j, 0.5j, 4j, 10-20j)
(80500.68321405666957342788 - 20346.82752982813540993502j)

hyp2f3()

mpmath.hyp2f3(a1, a2, b1, b2, b3, z)

Gives the hypergeometric function \,_2F_3(a_1,a_2;b_1,b_2,b_3; z). The call hyp2f3(a1,a2,b1,b2,b3,z) is equivalent to hyper([a1,a2],[b1,b2,b3],z).

Evaluation works for arbitrarily large arguments:

>>> from mpmath import *
>>> mp.dps = 25; mp.pretty = True
>>> a1,a2,b1,b2,b3 = 1.5, (-1,3), 2.25, 4, (1,5)
>>> hyp2f3(a1,a2,b1,b2,b3,10**20)
-4.169178177065714963568963e+8685889590
>>> hyp2f3(a1,a2,b1,b2,b3,-10**20)
7064472.587757755088178629
>>> hyp2f3(a1,a2,b1,b2,b3,10**20*j)
(-5.163368465314934589818543e+6141851415 + 1.783578125755972803440364e+6141851416j)
>>> hyp2f3(2+3j, -2j, 0.5j, 4j, -1-j, 10-20j)
(-2280.938956687033150740228 + 13620.97336609573659199632j)
>>> hyp2f3(2+3j, -2j, 0.5j, 4j, -1-j, 10000000-20000000j)
(4.849835186175096516193e+3504 - 3.365981529122220091353633e+3504j)

hyp3f2()

mpmath.hyp3f2(a1, a2, a3, b1, b2, z)

Gives the generalized hypergeometric function \,_3F_2, defined for |z| < 1 as

\,_3F_2(a_1,a_2,a_3,b_1,b_2,z) = \sum_{k=0}^{\infty}
    \frac{(a_1)_k (a_2)_k (a_3)_k}{(b_1)_k (b_2)_k} \frac{z^k}{k!}.

and for |z| \ge 1 by analytic continuation. The analytic structure of this function is similar to that of \,_2F_1, generally with a singularity at z = 1 and a branch cut on (1, \infty).

Evaluation is supported inside, on, and outside the circle of convergence |z| = 1:

>>> from mpmath import *
>>> mp.dps = 25; mp.pretty = True
>>> hyp3f2(1,2,3,4,5,0.25)
1.083533123380934241548707
>>> hyp3f2(1,2+2j,3,4,5,-10+10j)
(0.1574651066006004632914361 - 0.03194209021885226400892963j)
>>> hyp3f2(1,2,3,4,5,-10)
0.3071141169208772603266489
>>> hyp3f2(1,2,3,4,5,10)
(-0.4857045320523947050581423 - 0.5988311440454888436888028j)
>>> hyp3f2(0.25,1,1,2,1.5,1)
1.157370995096772047567631
>>> (8-pi-2*ln2)/3
1.157370995096772047567631
>>> hyp3f2(1+j,0.5j,2,1,-2j,-1)
(1.74518490615029486475959 + 0.1454701525056682297614029j)
>>> hyp3f2(1+j,0.5j,2,1,-2j,sqrt(j))
(0.9829816481834277511138055 - 0.4059040020276937085081127j)
>>> hyp3f2(-3,2,1,-5,4,1)
1.41
>>> hyp3f2(-3,2,1,-5,4,2)
2.12

Evaluation very close to the unit circle:

>>> hyp3f2(1,2,3,4,5,'1.0001')
(1.564877796743282766872279 - 3.76821518787438186031973e-11j)
>>> hyp3f2(1,2,3,4,5,'1+0.0001j')
(1.564747153061671573212831 + 0.0001305757570366084557648482j)
>>> hyp3f2(1,2,3,4,5,'0.9999')
1.564616644881686134983664
>>> hyp3f2(1,2,3,4,5,'-0.9999')
0.7823896253461678060196207

Note

Evaluation for |z-1| small can currently be inaccurate or slow for some parameter combinations.

For various parameter combinations, \,_3F_2 admits representation in terms of hypergeometric functions of lower degree, or in terms of simpler functions:

>>> for a, b, z in [(1,2,-1), (2,0.5,1)]:
...     hyp2f1(a,b,a+b+0.5,z)**2
...     hyp3f2(2*a,a+b,2*b,a+b+0.5,2*a+2*b,z)
...
0.4246104461966439006086308
0.4246104461966439006086308
7.111111111111111111111111
7.111111111111111111111111

>>> z = 2+3j
>>> hyp3f2(0.5,1,1.5,2,2,z)
(0.7621440939243342419729144 + 0.4249117735058037649915723j)
>>> 4*(pi-2*ellipe(z))/(pi*z)
(0.7621440939243342419729144 + 0.4249117735058037649915723j)

Generalized hypergeometric functions

hyper()

mpmath.hyper(a_s, b_s, z)

Evaluates the generalized hypergeometric function

\,_pF_q(a_1,\ldots,a_p; b_1,\ldots,b_q; z) =
\sum_{n=0}^\infty \frac{(a_1)_n (a_2)_n \ldots (a_p)_n}
   {(b_1)_n(b_2)_n\ldots(b_q)_n} \frac{z^n}{n!}

where (x)_n denotes the rising factorial (see rf()).

The parameters lists a_s and b_s may contain integers, real numbers, complex numbers, as well as exact fractions given in the form of tuples (p, q). hyper() is optimized to handle integers and fractions more efficiently than arbitrary floating-point parameters (since rational parameters are by far the most common).

Examples

Verifying that hyper() gives the sum in the definition, by comparison with nsum():

>>> from mpmath import *
>>> mp.dps = 25; mp.pretty = True
>>> a,b,c,d = 2,3,4,5
>>> x = 0.25
>>> hyper([a,b],[c,d],x)
1.078903941164934876086237
>>> fn = lambda n: rf(a,n)*rf(b,n)/rf(c,n)/rf(d,n)*x**n/fac(n)
>>> nsum(fn, [0, inf])
1.078903941164934876086237

The parameters can be any combination of integers, fractions, floats and complex numbers:

>>> a, b, c, d, e = 1, (-1,2), pi, 3+4j, (2,3)
>>> x = 0.2j
>>> hyper([a,b],[c,d,e],x)
(0.9923571616434024810831887 - 0.005753848733883879742993122j)
>>> b, e = -0.5, mpf(2)/3
>>> fn = lambda n: rf(a,n)*rf(b,n)/rf(c,n)/rf(d,n)/rf(e,n)*x**n/fac(n)
>>> nsum(fn, [0, inf])
(0.9923571616434024810831887 - 0.005753848733883879742993122j)

The \,_0F_0 and \,_1F_0 series are just elementary functions:

>>> a, z = sqrt(2), +pi
>>> hyper([],[],z)
23.14069263277926900572909
>>> exp(z)
23.14069263277926900572909
>>> hyper([a],[],z)
(-0.09069132879922920160334114 + 0.3283224323946162083579656j)
>>> (1-z)**(-a)
(-0.09069132879922920160334114 + 0.3283224323946162083579656j)

If any a_k coefficient is a nonpositive integer, the series terminates into a finite polynomial:

>>> hyper([1,1,1,-3],[2,5],1)
0.7904761904761904761904762
>>> identify(_)
'(83/105)'

If any b_k is a nonpositive integer, the function is undefined (unless the series terminates before the division by zero occurs):

>>> hyper([1,1,1,-3],[-2,5],1)
Traceback (most recent call last):
  ...
ZeroDivisionError: pole in hypergeometric series
>>> hyper([1,1,1,-1],[-2,5],1)
1.1

Except for polynomial cases, the radius of convergence R of the hypergeometric series is either R = \infty (if p \le q), R = 1 (if p = q+1), or R = 0 (if p > q+1).

The analytic continuations of the functions with p = q+1, i.e. \,_2F_1, \,_3F_2, \,_4F_3, etc, are all implemented and therefore these functions can be evaluated for |z| \ge 1. The shortcuts hyp2f1(), hyp3f2() are available to handle the most common cases (see their documentation), but functions of higher degree are also supported via hyper():

>>> hyper([1,2,3,4], [5,6,7], 1)   # 4F3 at finite-valued branch point
1.141783505526870731311423
>>> hyper([4,5,6,7], [1,2,3], 1)   # 4F3 at pole
+inf
>>> hyper([1,2,3,4,5], [6,7,8,9], 10)    # 5F4
(1.543998916527972259717257 - 0.5876309929580408028816365j)
>>> hyper([1,2,3,4,5,6], [7,8,9,10,11], 1j)   # 6F5
(0.9996565821853579063502466 + 0.0129721075905630604445669j)

Near z = 1 with noninteger parameters:

>>> hyper(['1/3',1,'3/2',2], ['1/5','11/6','41/8'], 1)
2.219433352235586121250027
>>> hyper(['1/3',1,'3/2',2], ['1/5','11/6','5/4'], 1)
+inf
>>> eps1 = extradps(6)(lambda: 1 - mpf('1e-6'))()
>>> hyper(['1/3',1,'3/2',2], ['1/5','11/6','5/4'], eps1)
2923978034.412973409330956

Please note that, as currently implemented, evaluation of \,_pF_{p-1} with p \ge 3 may be slow or inaccurate when |z-1| is small, for some parameter values.

When p > q+1, hyper computes the (iterated) Borel sum of the divergent series. For \,_2F_0 the Borel sum has an analytic solution and can be computed efficiently (see hyp2f0()). For higher degrees, the functions is evaluated first by attempting to sum it directly as an asymptotic series (this only works for tiny |z|), and then by evaluating the Borel regularized sum using numerical integration. Except for special parameter combinations, this can be extremely slow.

>>> hyper([1,1], [], 0.5)          # regularization of 2F0
(1.340965419580146562086448 + 0.8503366631752726568782447j)
>>> hyper([1,1,1,1], [1], 0.5)     # regularization of 4F1
(1.108287213689475145830699 + 0.5327107430640678181200491j)

With the following magnitude of argument, the asymptotic series for \,_3F_1 gives only a few digits. Using Borel summation, hyper can produce a value with full accuracy:

>>> mp.dps = 15
>>> hyper([2,0.5,4], [5.25], '0.08', force_series=True)
Traceback (most recent call last):
  ...
NoConvergence: Hypergeometric series converges too slowly. Try increasing maxterms.
>>> hyper([2,0.5,4], [5.25], '0.08', asymp_tol=1e-4)
1.0725535790737
>>> hyper([2,0.5,4], [5.25], '0.08')
(1.07269542893559 + 5.54668863216891e-5j)
>>> hyper([2,0.5,4], [5.25], '-0.08', asymp_tol=1e-4)
0.946344925484879
>>> hyper([2,0.5,4], [5.25], '-0.08')
0.946312503737771
>>> mp.dps = 25
>>> hyper([2,0.5,4], [5.25], '-0.08')
0.9463125037377662296700858

Note that with the positive z value, there is a complex part in the correct result, which falls below the tolerance of the asymptotic series.

hypercomb()

mpmath.hypercomb(ctx, function, params=[], discard_known_zeros=True, **kwargs)

Computes a weighted combination of hypergeometric functions

\sum_{r=1}^N \left[ \prod_{k=1}^{l_r} {w_{r,k}}^{c_{r,k}}
\frac{\prod_{k=1}^{m_r} \Gamma(\alpha_{r,k})}{\prod_{k=1}^{n_r}
\Gamma(\beta_{r,k})}
\,_{p_r}F_{q_r}(a_{r,1},\ldots,a_{r,p}; b_{r,1},
\ldots, b_{r,q}; z_r)\right].

Typically the parameters are linear combinations of a small set of base parameters; hypercomb() permits computing a correct value in the case that some of the \alpha, \beta, b turn out to be nonpositive integers, or if division by zero occurs for some w^c, assuming that there are opposing singularities that cancel out. The limit is computed by evaluating the function with the base parameters perturbed, at a higher working precision.

The first argument should be a function that takes the perturbable base parameters params as input and returns N tuples (w, c, alpha, beta, a, b, z), where the coefficients w, c, gamma factors alpha, beta, and hypergeometric coefficients a, b each should be lists of numbers, and z should be a single number.

Examples

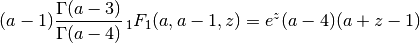
The following evaluates

(a-1) \frac{\Gamma(a-3)}{\Gamma(a-4)} \,_1F_1(a,a-1,z) = e^z(a-4)(a+z-1)

with a=1, z=3. There is a zero factor, two gamma function poles, and the 1F1 function is singular; all singularities cancel out to give a finite value:

>>> from mpmath import *
>>> mp.dps = 15; mp.pretty = True
>>> hypercomb(lambda a: [([a-1],[1],[a-3],[a-4],[a],[a-1],3)], [1])
-180.769832308689
>>> -9*exp(3)
-180.769832308689

Meijer G-function

meijerg()

mpmath.meijerg(a_s, b_s, z, r=1, **kwargs)

Evaluates the Meijer G-function, defined as

G^{m,n}_{p,q} \left( \left. \begin{matrix}
     a_1, \dots, a_n ; a_{n+1} \dots a_p \\
     b_1, \dots, b_m ; b_{m+1} \dots b_q
\end{matrix}\; \right| \; z ; r \right) =
\frac{1}{2 \pi i} \int_L
\frac{\prod_{j=1}^m \Gamma(b_j+s) \prod_{j=1}^n\Gamma(1-a_j-s)}
     {\prod_{j=n+1}^{p}\Gamma(a_j+s) \prod_{j=m+1}^q \Gamma(1-b_j-s)}
     z^{-s/r} ds

for an appropriate choice of the contour L (see references).

There are p elements a_j. The argument a_s should be a pair of lists, the first containing the n elements a_1, \ldots, a_n and the second containing the p-n elements a_{n+1}, \ldots a_p.

There are q elements b_j. The argument b_s should be a pair of lists, the first containing the m elements b_1, \ldots, b_m and the second containing the q-m elements b_{m+1}, \ldots b_q.

The implicit tuple (m, n, p, q) constitutes the order or degree of the Meijer G-function, and is determined by the lengths of the coefficient vectors. Confusingly, the indices in this tuple appear in a different order from the coefficients, but this notation is standard. The many examples given below should hopefully clear up any potential confusion.

Algorithm

The Meijer G-function is evaluated as a combination of hypergeometric series. There are two versions of the function, which can be selected with the optional series argument.

series=1 uses a sum of m \,_pF_{q-1} functions of z

series=2 uses a sum of n \,_qF_{p-1} functions of 1/z

The default series is chosen based on the degree and |z| in order to be consistent with Mathematica’s. This definition of the Meijer G-function has a discontinuity at |z| = 1 for some orders, which can be avoided by explicitly specifying a series.

Keyword arguments are forwarded to hypercomb().

Examples

Many standard functions are special cases of the Meijer G-function (possibly rescaled and/or with branch cut corrections). We define some test parameters:

>>> from mpmath import *
>>> mp.dps = 25; mp.pretty = True
>>> a = mpf(0.75)
>>> b = mpf(1.5)
>>> z = mpf(2.25)

The exponential function: e^z = G^{1,0}_{0,1} \left( \left. \begin{matrix} - \\ 0 \end{matrix} \;
\right| \; -z \right)

>>> meijerg([[],[]], [[0],[]], -z)
9.487735836358525720550369
>>> exp(z)
9.487735836358525720550369

The natural logarithm: \log(1+z) = G^{1,2}_{2,2} \left( \left. \begin{matrix} 1, 1 \\ 1, 0
\end{matrix} \; \right| \; -z \right)

>>> meijerg([[1,1],[]], [[1],[0]], z)
1.178654996341646117219023
>>> log(1+z)
1.178654996341646117219023

A rational function: \frac{z}{z+1} = G^{1,2}_{2,2} \left( \left. \begin{matrix} 1, 1 \\ 1, 1
\end{matrix} \; \right| \; z \right)

>>> meijerg([[1,1],[]], [[1],[1]], z)
0.6923076923076923076923077
>>> z/(z+1)
0.6923076923076923076923077

The sine and cosine functions:

\frac{1}{\sqrt \pi} \sin(2 \sqrt z) = G^{1,0}_{0,2} \left( \left. \begin{matrix}
- \\ \frac{1}{2}, 0 \end{matrix} \; \right| \; z \right)

\frac{1}{\sqrt \pi} \cos(2 \sqrt z) = G^{1,0}_{0,2} \left( \left. \begin{matrix}
- \\ 0, \frac{1}{2} \end{matrix} \; \right| \; z \right)

>>> meijerg([[],[]], [[0.5],[0]], (z/2)**2)
0.4389807929218676682296453
>>> sin(z)/sqrt(pi)
0.4389807929218676682296453
>>> meijerg([[],[]], [[0],[0.5]], (z/2)**2)
-0.3544090145996275423331762
>>> cos(z)/sqrt(pi)
-0.3544090145996275423331762

Bessel functions:

J_a(2 \sqrt z) = G^{1,0}_{0,2} \left( \left.
\begin{matrix} - \\ \frac{a}{2}, -\frac{a}{2}
\end{matrix} \; \right| \; z \right)

Y_a(2 \sqrt z) = G^{2,0}_{1,3} \left( \left.
\begin{matrix} \frac{-a-1}{2} \\ \frac{a}{2}, -\frac{a}{2}, \frac{-a-1}{2}
\end{matrix} \; \right| \; z \right)

(-z)^{a/2} z^{-a/2} I_a(2 \sqrt z) = G^{1,0}_{0,2} \left( \left.
\begin{matrix} - \\ \frac{a}{2}, -\frac{a}{2}
\end{matrix} \; \right| \; -z \right)

2 K_a(2 \sqrt z) = G^{2,0}_{0,2} \left( \left.
\begin{matrix} - \\ \frac{a}{2}, -\frac{a}{2}
\end{matrix} \; \right| \; z \right)

As the example with the Bessel I function shows, a branch factor is required for some arguments when inverting the square root.

>>> meijerg([[],[]], [[a/2],[-a/2]], (z/2)**2)
0.5059425789597154858527264
>>> besselj(a,z)
0.5059425789597154858527264
>>> meijerg([[],[(-a-1)/2]], [[a/2,-a/2],[(-a-1)/2]], (z/2)**2)
0.1853868950066556941442559
>>> bessely(a, z)
0.1853868950066556941442559
>>> meijerg([[],[]], [[a/2],[-a/2]], -(z/2)**2)
(0.8685913322427653875717476 + 2.096964974460199200551738j)
>>> (-z)**(a/2) / z**(a/2) * besseli(a, z)
(0.8685913322427653875717476 + 2.096964974460199200551738j)
>>> 0.5*meijerg([[],[]], [[a/2,-a/2],[]], (z/2)**2)
0.09334163695597828403796071
>>> besselk(a,z)
0.09334163695597828403796071

Error functions:

\sqrt{\pi} z^{2(a-1)} \mathrm{erfc}(z) = G^{2,0}_{1,2} \left( \left.
\begin{matrix} a \\ a-1, a-\frac{1}{2}
\end{matrix} \; \right| \; z, \frac{1}{2} \right)

>>> meijerg([[],[a]], [[a-1,a-0.5],[]], z, 0.5)
0.00172839843123091957468712
>>> sqrt(pi) * z**(2*a-2) * erfc(z)
0.00172839843123091957468712

A Meijer G-function of higher degree, (1,1,2,3):

>>> meijerg([[a],[b]], [[a],[b,a-1]], z)
1.55984467443050210115617
>>> sin((b-a)*pi)/pi*(exp(z)-1)*z**(a-1)
1.55984467443050210115617

A Meijer G-function of still higher degree, (4,1,2,4), that can be expanded as a messy combination of exponential integrals:

>>> meijerg([[a],[2*b-a]], [[b,a,b-0.5,-1-a+2*b],[]], z)
0.3323667133658557271898061
>>> chop(4**(a-b+1)*sqrt(pi)*gamma(2*b-2*a)*z**a*\
...     expint(2*b-2*a, -2*sqrt(-z))*expint(2*b-2*a, 2*sqrt(-z)))
0.3323667133658557271898061

In the following case, different series give different values:

>>> chop(meijerg([[1],[0.25]],[[3],[0.5]],-2))
-0.06417628097442437076207337
>>> meijerg([[1],[0.25]],[[3],[0.5]],-2,series=1)
0.1428699426155117511873047
>>> chop(meijerg([[1],[0.25]],[[3],[0.5]],-2,series=2))
-0.06417628097442437076207337

References

  1. http://en.wikipedia.org/wiki/Meijer_G-function
  2. http://mathworld.wolfram.com/MeijerG-Function.html
  3. http://functions.wolfram.com/HypergeometricFunctions/MeijerG/
  4. http://functions.wolfram.com/HypergeometricFunctions/MeijerG1/

Bilateral hypergeometric series

bihyper()

mpmath.bihyper(a_s, b_s, z, **kwargs)

Evaluates the bilateral hypergeometric series

\,_AH_B(a_1, \ldots, a_k; b_1, \ldots, b_B; z) =
    \sum_{n=-\infty}^{\infty}
    \frac{(a_1)_n \ldots (a_A)_n}
         {(b_1)_n \ldots (b_B)_n} \, z^n

where, for direct convergence, A = B and |z| = 1, although a regularized sum exists more generally by considering the bilateral series as a sum of two ordinary hypergeometric functions. In order for the series to make sense, none of the parameters may be integers.

Examples

The value of \,_2H_2 at z = 1 is given by Dougall’s formula:

>>> from mpmath import *
>>> mp.dps = 25; mp.pretty = True
>>> a,b,c,d = 0.5, 1.5, 2.25, 3.25
>>> bihyper([a,b],[c,d],1)
-14.49118026212345786148847
>>> gammaprod([c,d,1-a,1-b,c+d-a-b-1],[c-a,d-a,c-b,d-b])
-14.49118026212345786148847

The regularized function \,_1H_0 can be expressed as the sum of one \,_2F_0 function and one \,_1F_1 function:

>>> a = mpf(0.25)
>>> z = mpf(0.75)
>>> bihyper([a], [], z)
(0.2454393389657273841385582 + 0.2454393389657273841385582j)
>>> hyper([a,1],[],z) + (hyper([1],[1-a],-1/z)-1)
(0.2454393389657273841385582 + 0.2454393389657273841385582j)
>>> hyper([a,1],[],z) + hyper([1],[2-a],-1/z)/z/(a-1)
(0.2454393389657273841385582 + 0.2454393389657273841385582j)

References

  1. [Slater] (chapter 6: “Bilateral Series”, pp. 180-189)
  2. [Wikipedia] http://en.wikipedia.org/wiki/Bilateral_hypergeometric_series

Hypergeometric functions of two variables

hyper2d()

mpmath.hyper2d(a, b, x, y, **kwargs)

Sums the generalized 2D hypergeometric series

\sum_{m=0}^{\infty} \sum_{n=0}^{\infty}
    \frac{P((a),m,n)}{Q((b),m,n)}
    \frac{x^m y^n} {m! n!}

where (a) = (a_1,\ldots,a_r), (b) = (b_1,\ldots,b_s) and where P and Q are products of rising factorials such as (a_j)_n or (a_j)_{m+n}. P and Q are specified in the form of dicts, with the m and n dependence as keys and parameter lists as values. The supported rising factorials are given in the following table (note that only a few are supported in Q):

Key Rising factorial Q
'm' (a_j)_m Yes
'n' (a_j)_n Yes
'm+n' (a_j)_{m+n} Yes
'm-n' (a_j)_{m-n} No
'n-m' (a_j)_{n-m} No
'2m+n' (a_j)_{2m+n} No
'2m-n' (a_j)_{2m-n} No
'2n-m' (a_j)_{2n-m} No

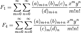
For example, the Appell F1 and F4 functions

F_1 = \sum_{m=0}^{\infty} \sum_{n=0}^{\infty}
      \frac{(a)_{m+n} (b)_m (c)_n}{(d)_{m+n}}
      \frac{x^m y^n}{m! n!}

F_4 = \sum_{m=0}^{\infty} \sum_{n=0}^{\infty}
      \frac{(a)_{m+n} (b)_{m+n}}{(c)_m (d)_{n}}
      \frac{x^m y^n}{m! n!}

can be represented respectively as

hyper2d({'m+n':[a], 'm':[b], 'n':[c]}, {'m+n':[d]}, x, y)

hyper2d({'m+n':[a,b]}, {'m':[c], 'n':[d]}, x, y)

More generally, hyper2d() can evaluate any of the 34 distinct convergent second-order (generalized Gaussian) hypergeometric series enumerated by Horn, as well as the Kampe de Feriet function.

The series is computed by rewriting it so that the inner series (i.e. the series containing n and y) has the form of an ordinary generalized hypergeometric series and thereby can be evaluated efficiently using hyper(). If possible, manually swapping x and y and the corresponding parameters can sometimes give better results.

Examples

Two separable cases: a product of two geometric series, and a product of two Gaussian hypergeometric functions:

>>> from mpmath import *
>>> mp.dps = 25; mp.pretty = True
>>> x, y = mpf(0.25), mpf(0.5)
>>> hyper2d({'m':1,'n':1}, {}, x,y)
2.666666666666666666666667
>>> 1/(1-x)/(1-y)
2.666666666666666666666667
>>> hyper2d({'m':[1,2],'n':[3,4]}, {'m':[5],'n':[6]}, x,y)
4.164358531238938319669856
>>> hyp2f1(1,2,5,x)*hyp2f1(3,4,6,y)
4.164358531238938319669856

Some more series that can be done in closed form:

>>> hyper2d({'m':1,'n':1},{'m+n':1},x,y)
2.013417124712514809623881
>>> (exp(x)*x-exp(y)*y)/(x-y)
2.013417124712514809623881

Six of the 34 Horn functions, G1-G3 and H1-H3:

>>> from mpmath import *
>>> mp.dps = 10; mp.pretty = True
>>> x, y = 0.0625, 0.125
>>> a1,a2,b1,b2,c1,c2,d = 1.1,-1.2,-1.3,-1.4,1.5,-1.6,1.7
>>> hyper2d({'m+n':a1,'n-m':b1,'m-n':b2},{},x,y)  # G1
1.139090746
>>> nsum(lambda m,n: rf(a1,m+n)*rf(b1,n-m)*rf(b2,m-n)*\
...     x**m*y**n/fac(m)/fac(n), [0,inf], [0,inf])
1.139090746
>>> hyper2d({'m':a1,'n':a2,'n-m':b1,'m-n':b2},{},x,y)  # G2
0.9503682696
>>> nsum(lambda m,n: rf(a1,m)*rf(a2,n)*rf(b1,n-m)*rf(b2,m-n)*\
...     x**m*y**n/fac(m)/fac(n), [0,inf], [0,inf])
0.9503682696
>>> hyper2d({'2n-m':a1,'2m-n':a2},{},x,y)  # G3
1.029372029
>>> nsum(lambda m,n: rf(a1,2*n-m)*rf(a2,2*m-n)*\
...     x**m*y**n/fac(m)/fac(n), [0,inf], [0,inf])
1.029372029
>>> hyper2d({'m-n':a1,'m+n':b1,'n':c1},{'m':d},x,y)  # H1
-1.605331256
>>> nsum(lambda m,n: rf(a1,m-n)*rf(b1,m+n)*rf(c1,n)/rf(d,m)*\
...     x**m*y**n/fac(m)/fac(n), [0,inf], [0,inf])
-1.605331256
>>> hyper2d({'m-n':a1,'m':b1,'n':[c1,c2]},{'m':d},x,y)  # H2
-2.35405404
>>> nsum(lambda m,n: rf(a1,m-n)*rf(b1,m)*rf(c1,n)*rf(c2,n)/rf(d,m)*\
...     x**m*y**n/fac(m)/fac(n), [0,inf], [0,inf])
-2.35405404
>>> hyper2d({'2m+n':a1,'n':b1},{'m+n':c1},x,y)  # H3
0.974479074
>>> nsum(lambda m,n: rf(a1,2*m+n)*rf(b1,n)/rf(c1,m+n)*\
...     x**m*y**n/fac(m)/fac(n), [0,inf], [0,inf])
0.974479074

References

  1. [SrivastavaKarlsson]
  2. [Weisstein] http://mathworld.wolfram.com/HornFunction.html
  3. [Weisstein] http://mathworld.wolfram.com/AppellHypergeometricFunction.html

appellf1()

mpmath.appellf1(a, b1, b2, c, x, y, **kwargs)

Gives the Appell F1 hypergeometric function of two variables,

F_1(a,b_1,b_2,c,x,y) = \sum_{m=0}^{\infty} \sum_{n=0}^{\infty}
    \frac{(a)_{m+n} (b_1)_m (b_2)_n}{(c)_{m+n}}
    \frac{x^m y^n}{m! n!}.

This series is only generally convergent when |x| < 1 and |y| < 1, although appellf1() can evaluate an analytic continuation with respecto to either variable, and sometimes both.

Examples

Evaluation is supported for real and complex parameters:

>>> from mpmath import *
>>> mp.dps = 25; mp.pretty = True
>>> appellf1(1,0,0.5,1,0.5,0.25)
1.154700538379251529018298
>>> appellf1(1,1+j,0.5,1,0.5,0.5j)
(1.138403860350148085179415 + 1.510544741058517621110615j)

For some integer parameters, the F1 series reduces to a polynomial:

>>> appellf1(2,-4,-3,1,2,5)
-816.0
>>> appellf1(-5,1,2,1,4,5)
-20528.0

The analytic continuation with respect to either x or y, and sometimes with respect to both, can be evaluated:

>>> appellf1(2,3,4,5,100,0.5)
(0.0006231042714165329279738662 + 0.0000005769149277148425774499857j)
>>> appellf1('1.1', '0.3', '0.2+2j', '0.4', '0.2', 1.5+3j)
(-0.1782604566893954897128702 + 0.002472407104546216117161499j)
>>> appellf1(1,2,3,4,10,12)
-0.07122993830066776374929313

For certain arguments, F1 reduces to an ordinary hypergeometric function:

>>> appellf1(1,2,3,5,0.5,0.25)
1.547902270302684019335555
>>> 4*hyp2f1(1,2,5,'1/3')/3
1.547902270302684019335555
>>> appellf1(1,2,3,4,0,1.5)
(-1.717202506168937502740238 - 2.792526803190927323077905j)
>>> hyp2f1(1,3,4,1.5)
(-1.717202506168937502740238 - 2.792526803190927323077905j)

The F1 function satisfies a system of partial differential equations:

>>> a,b1,b2,c,x,y = map(mpf, [1,0.5,0.25,1.125,0.25,-0.25])
>>> F = lambda x,y: appellf1(a,b1,b2,c,x,y)
>>> chop(x*(1-x)*diff(F,(x,y),(2,0)) +
...      y*(1-x)*diff(F,(x,y),(1,1)) +
...      (c-(a+b1+1)*x)*diff(F,(x,y),(1,0)) -
...      b1*y*diff(F,(x,y),(0,1)) -
...      a*b1*F(x,y))
0.0
>>>
>>> chop(y*(1-y)*diff(F,(x,y),(0,2)) +
...      x*(1-y)*diff(F,(x,y),(1,1)) +
...      (c-(a+b2+1)*y)*diff(F,(x,y),(0,1)) -
...      b2*x*diff(F,(x,y),(1,0)) -
...      a*b2*F(x,y))
0.0

The Appell F1 function allows for closed-form evaluation of various integrals, such as any integral of the form \int x^r (x+a)^p (x+b)^q dx:

>>> def integral(a,b,p,q,r,x1,x2):
...     a,b,p,q,r,x1,x2 = map(mpmathify, [a,b,p,q,r,x1,x2])
...     f = lambda x: x**r * (x+a)**p * (x+b)**q
...     def F(x):
...         v = x**(r+1)/(r+1) * (a+x)**p * (b+x)**q
...         v *= (1+x/a)**(-p)
...         v *= (1+x/b)**(-q)
...         v *= appellf1(r+1,-p,-q,2+r,-x/a,-x/b)
...         return v
...     print("Num. quad: %s" % quad(f, [x1,x2]))
...     print("Appell F1: %s" % (F(x2)-F(x1)))
...
>>> integral('1/5','4/3','-2','3','1/2',0,1)
Num. quad: 9.073335358785776206576981
Appell F1: 9.073335358785776206576981
>>> integral('3/2','4/3','-2','3','1/2',0,1)
Num. quad: 1.092829171999626454344678
Appell F1: 1.092829171999626454344678
>>> integral('3/2','4/3','-2','3','1/2',12,25)
Num. quad: 1106.323225040235116498927
Appell F1: 1106.323225040235116498927

Also incomplete elliptic integrals fall into this category [1]:

>>> def E(z, m):
...     if (pi/2).ae(z):
...         return ellipe(m)
...     return 2*round(re(z)/pi)*ellipe(m) + mpf(-1)**round(re(z)/pi)*\
...         sin(z)*appellf1(0.5,0.5,-0.5,1.5,sin(z)**2,m*sin(z)**2)
...
>>> z, m = 1, 0.5
>>> E(z,m); quad(lambda t: sqrt(1-m*sin(t)**2), [0,pi/4,3*pi/4,z])
0.9273298836244400669659042
0.9273298836244400669659042
>>> z, m = 3, 2
>>> E(z,m); quad(lambda t: sqrt(1-m*sin(t)**2), [0,pi/4,3*pi/4,z])
(1.057495752337234229715836 + 1.198140234735592207439922j)
(1.057495752337234229715836 + 1.198140234735592207439922j)

References

  1. [WolframFunctions] http://functions.wolfram.com/EllipticIntegrals/EllipticE2/26/01/
  2. [SrivastavaKarlsson]
  3. [CabralRosetti]
  4. [Vidunas]
  5. [Slater]

appellf2()

mpmath.appellf2(a, b1, b2, c1, c2, x, y, **kwargs)

Gives the Appell F2 hypergeometric function of two variables

F_2(a,b_1,b_2,c_1,c_2,x,y) = \sum_{m=0}^{\infty} \sum_{n=0}^{\infty}
    \frac{(a)_{m+n} (b_1)_m (b_2)_n}{(c_1)_m (c_2)_n}
    \frac{x^m y^n}{m! n!}.

The series is generally absolutely convergent for |x| + |y| < 1.

Examples

Evaluation for real and complex arguments:

>>> from mpmath import *
>>> mp.dps = 25; mp.pretty = True
>>> appellf2(1,2,3,4,5,0.25,0.125)
1.257417193533135344785602
>>> appellf2(1,-3,-4,2,3,2,3)
-42.8
>>> appellf2(0.5,0.25,-0.25,2,3,0.25j,0.25)
(0.9880539519421899867041719 + 0.01497616165031102661476978j)
>>> chop(appellf2(1,1+j,1-j,3j,-3j,0.25,0.25))
1.201311219287411337955192
>>> appellf2(1,1,1,4,6,0.125,16)
(-0.09455532250274744282125152 - 0.7647282253046207836769297j)

A transformation formula:

>>> a,b1,b2,c1,c2,x,y = map(mpf, [1,2,0.5,0.25,1.625,-0.125,0.125])
>>> appellf2(a,b1,b2,c1,c2,x,y)
0.2299211717841180783309688
>>> (1-x)**(-a)*appellf2(a,c1-b1,b2,c1,c2,x/(x-1),y/(1-x))
0.2299211717841180783309688

A system of partial differential equations satisfied by F2:

>>> a,b1,b2,c1,c2,x,y = map(mpf, [1,0.5,0.25,1.125,1.5,0.0625,-0.0625])
>>> F = lambda x,y: appellf2(a,b1,b2,c1,c2,x,y)
>>> chop(x*(1-x)*diff(F,(x,y),(2,0)) -
...      x*y*diff(F,(x,y),(1,1)) +
...      (c1-(a+b1+1)*x)*diff(F,(x,y),(1,0)) -
...      b1*y*diff(F,(x,y),(0,1)) -
...      a*b1*F(x,y))
0.0
>>> chop(y*(1-y)*diff(F,(x,y),(0,2)) -
...      x*y*diff(F,(x,y),(1,1)) +
...      (c2-(a+b2+1)*y)*diff(F,(x,y),(0,1)) -
...      b2*x*diff(F,(x,y),(1,0)) -
...      a*b2*F(x,y))
0.0

References

See references for appellf1().

appellf3()

mpmath.appellf3(a1, a2, b1, b2, c, x, y, **kwargs)

Gives the Appell F3 hypergeometric function of two variables

F_3(a_1,a_2,b_1,b_2,c,x,y) = \sum_{m=0}^{\infty} \sum_{n=0}^{\infty}
    \frac{(a_1)_m (a_2)_n (b_1)_m (b_2)_n}{(c)_{m+n}}
    \frac{x^m y^n}{m! n!}.

The series is generally absolutely convergent for |x| < 1, |y| < 1.

Examples

Evaluation for various parameters and variables:

>>> from mpmath import *
>>> mp.dps = 25; mp.pretty = True
>>> appellf3(1,2,3,4,5,0.5,0.25)
2.221557778107438938158705
>>> appellf3(1,2,3,4,5,6,0); hyp2f1(1,3,5,6)
(-0.5189554589089861284537389 - 0.1454441043328607980769742j)
(-0.5189554589089861284537389 - 0.1454441043328607980769742j)
>>> appellf3(1,-2,-3,1,1,4,6)
-17.4
>>> appellf3(1,2,-3,1,1,4,6)
(17.7876136773677356641825 + 19.54768762233649126154534j)
>>> appellf3(1,2,-3,1,1,6,4)
(85.02054175067929402953645 + 148.4402528821177305173599j)
>>> chop(appellf3(1+j,2,1-j,2,3,0.25,0.25))
1.719992169545200286696007

Many transformations and evaluations for special combinations of the parameters are possible, e.g.:

>>> a,b,c,x,y = map(mpf, [0.5,0.25,0.125,0.125,-0.125])
>>> appellf3(a,c-a,b,c-b,c,x,y)
1.093432340896087107444363
>>> (1-y)**(a+b-c)*hyp2f1(a,b,c,x+y-x*y)
1.093432340896087107444363
>>> x**2*appellf3(1,1,1,1,3,x,-x)
0.01568646277445385390945083
>>> polylog(2,x**2)
0.01568646277445385390945083
>>> a1,a2,b1,b2,c,x = map(mpf, [0.5,0.25,0.125,0.5,4.25,0.125])
>>> appellf3(a1,a2,b1,b2,c,x,1)
1.03947361709111140096947
>>> gammaprod([c,c-a2-b2],[c-a2,c-b2])*hyp3f2(a1,b1,c-a2-b2,c-a2,c-b2,x)
1.03947361709111140096947

The Appell F3 function satisfies a pair of partial differential equations:

>>> a1,a2,b1,b2,c,x,y = map(mpf, [0.5,0.25,0.125,0.5,0.625,0.0625,-0.0625])
>>> F = lambda x,y: appellf3(a1,a2,b1,b2,c,x,y)
>>> chop(x*(1-x)*diff(F,(x,y),(2,0)) +
...      y*diff(F,(x,y),(1,1)) +
...     (c-(a1+b1+1)*x)*diff(F,(x,y),(1,0)) -
...     a1*b1*F(x,y))
0.0
>>> chop(y*(1-y)*diff(F,(x,y),(0,2)) +
...     x*diff(F,(x,y),(1,1)) +
...     (c-(a2+b2+1)*y)*diff(F,(x,y),(0,1)) -
...     a2*b2*F(x,y))
0.0

References

See references for appellf1().

appellf4()

mpmath.appellf4(a, b, c1, c2, x, y, **kwargs)

Gives the Appell F4 hypergeometric function of two variables

F_4(a,b,c_1,c_2,x,y) = \sum_{m=0}^{\infty} \sum_{n=0}^{\infty}
    \frac{(a)_{m+n} (b)_{m+n}}{(c_1)_m (c_2)_n}
    \frac{x^m y^n}{m! n!}.

The series is generally absolutely convergent for \sqrt{|x|} + \sqrt{|y|} < 1.

Examples

Evaluation for various parameters and arguments:

>>> from mpmath import *
>>> mp.dps = 25; mp.pretty = True
>>> appellf4(1,1,2,2,0.25,0.125)
1.286182069079718313546608
>>> appellf4(-2,-3,4,5,4,5)
34.8
>>> appellf4(5,4,2,3,0.25j,-0.125j)
(-0.2585967215437846642163352 + 2.436102233553582711818743j)

Reduction to \,_2F_1 in a special case:

>>> a,b,c,x,y = map(mpf, [0.5,0.25,0.125,0.125,-0.125])
>>> appellf4(a,b,c,a+b-c+1,x*(1-y),y*(1-x))
1.129143488466850868248364
>>> hyp2f1(a,b,c,x)*hyp2f1(a,b,a+b-c+1,y)
1.129143488466850868248364

A system of partial differential equations satisfied by F4:

>>> a,b,c1,c2,x,y = map(mpf, [1,0.5,0.25,1.125,0.0625,-0.0625])
>>> F = lambda x,y: appellf4(a,b,c1,c2,x,y)
>>> chop(x*(1-x)*diff(F,(x,y),(2,0)) -
...      y**2*diff(F,(x,y),(0,2)) -
...      2*x*y*diff(F,(x,y),(1,1)) +
...      (c1-(a+b+1)*x)*diff(F,(x,y),(1,0)) -
...      ((a+b+1)*y)*diff(F,(x,y),(0,1)) -
...      a*b*F(x,y))
0.0
>>> chop(y*(1-y)*diff(F,(x,y),(0,2)) -
...      x**2*diff(F,(x,y),(2,0)) -
...      2*x*y*diff(F,(x,y),(1,1)) +
...      (c2-(a+b+1)*y)*diff(F,(x,y),(0,1)) -
...      ((a+b+1)*x)*diff(F,(x,y),(1,0)) -
...      a*b*F(x,y))
0.0

References

See references for appellf1().