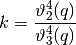
Elliptic functions historically comprise the elliptic integrals and their inverses, and originate from the problem of computing the arc length of an ellipse. From a more modern point of view, an elliptic function is defined as a doubly periodic function, i.e. a function which satisfies

for some half-periods
with
. The canonical elliptic
functions are the Jacobi elliptic functions. More broadly, this section
includes quasi-doubly periodic functions (such as the Jacobi theta
functions) and other functions useful in the study of elliptic functions.
Many different conventions for the arguments of
elliptic functions are in use. It is even standard to use
different parameterizations for different functions in the same
text or software (and mpmath is no exception).
The usual parameters are the elliptic nome
, which usually
must satisfy
; the elliptic parameter
(an arbitrary
complex number); the elliptic modulus
(an arbitrary complex
number); and the half-period ratio
, which usually must
satisfy
.
These quantities can be expressed in terms of each other
using the following relations:




In addition, an alternative definition is used for the nome in number theory, which we here denote by q-bar:

For convenience, mpmath provides functions to convert between the various parameters (qfrom(), mfrom(), kfrom(), taufrom(), qbarfrom()).
References
Returns the elliptic nome
, given any of
:
>>> from mpmath import *
>>> mp.dps = 25; mp.pretty = True
>>> qfrom(q=0.25)
0.25
>>> qfrom(m=mfrom(q=0.25))
0.25
>>> qfrom(k=kfrom(q=0.25))
0.25
>>> qfrom(tau=taufrom(q=0.25))
(0.25 + 0.0j)
>>> qfrom(qbar=qbarfrom(q=0.25))
0.25
Returns the number-theoretic nome
, given any of
:
>>> from mpmath import *
>>> mp.dps = 25; mp.pretty = True
>>> qbarfrom(qbar=0.25)
0.25
>>> qbarfrom(q=qfrom(qbar=0.25))
0.25
>>> qbarfrom(m=extraprec(20)(mfrom)(qbar=0.25)) # ill-conditioned
0.25
>>> qbarfrom(k=extraprec(20)(kfrom)(qbar=0.25)) # ill-conditioned
0.25
>>> qbarfrom(tau=taufrom(qbar=0.25))
(0.25 + 0.0j)
Returns the elliptic parameter
, given any of
:
>>> from mpmath import *
>>> mp.dps = 25; mp.pretty = True
>>> mfrom(m=0.25)
0.25
>>> mfrom(q=qfrom(m=0.25))
0.25
>>> mfrom(k=kfrom(m=0.25))
0.25
>>> mfrom(tau=taufrom(m=0.25))
(0.25 + 0.0j)
>>> mfrom(qbar=qbarfrom(m=0.25))
0.25
As
and
,
rapidly approaches
and
respectively:
>>> mfrom(q=0.75)
0.9999999999999798332943533
>>> mfrom(q=-0.75)
-49586681013729.32611558353
>>> mfrom(q=1)
1.0
>>> mfrom(q=-1)
-inf
The inverse nome as a function of
has an integer
Taylor series expansion:
>>> taylor(lambda q: mfrom(q), 0, 7)
[0.0, 16.0, -128.0, 704.0, -3072.0, 11488.0, -38400.0, 117632.0]
Returns the elliptic modulus
, given any of
:
>>> from mpmath import *
>>> mp.dps = 25; mp.pretty = True
>>> kfrom(k=0.25)
0.25
>>> kfrom(m=mfrom(k=0.25))
0.25
>>> kfrom(q=qfrom(k=0.25))
0.25
>>> kfrom(tau=taufrom(k=0.25))
(0.25 + 0.0j)
>>> kfrom(qbar=qbarfrom(k=0.25))
0.25
As
and
,
rapidly approaches
and
respectively:
>>> kfrom(q=0.75)
0.9999999999999899166471767
>>> kfrom(q=-0.75)
(0.0 + 7041781.096692038332790615j)
>>> kfrom(q=1)
1
>>> kfrom(q=-1)
(0.0 + +infj)
Returns the elliptic half-period ratio
, given any of
:
>>> from mpmath import *
>>> mp.dps = 25; mp.pretty = True
>>> taufrom(tau=0.5j)
(0.0 + 0.5j)
>>> taufrom(q=qfrom(tau=0.5j))
(0.0 + 0.5j)
>>> taufrom(m=mfrom(tau=0.5j))
(0.0 + 0.5j)
>>> taufrom(k=kfrom(tau=0.5j))
(0.0 + 0.5j)
>>> taufrom(qbar=qbarfrom(tau=0.5j))
(0.0 + 0.5j)
Evaluates the complete elliptic integral of the first kind,
, defined by

Note that the argument is the parameter
,
not the modulus
which is sometimes used.
Plots
# Complete elliptic integrals K(m) and E(m)
plot([ellipk, ellipe], [-2,1], [0,3], points=600)
Examples
Values and limits include:
>>> from mpmath import *
>>> mp.dps = 25; mp.pretty = True
>>> ellipk(0)
1.570796326794896619231322
>>> ellipk(inf)
(0.0 + 0.0j)
>>> ellipk(-inf)
0.0
>>> ellipk(1)
+inf
>>> ellipk(-1)
1.31102877714605990523242
>>> ellipk(2)
(1.31102877714605990523242 - 1.31102877714605990523242j)
Verifying the defining integral and hypergeometric representation:
>>> ellipk(0.5)
1.85407467730137191843385
>>> quad(lambda t: (1-0.5*sin(t)**2)**-0.5, [0, pi/2])
1.85407467730137191843385
>>> pi/2*hyp2f1(0.5,0.5,1,0.5)
1.85407467730137191843385
Evaluation is supported for arbitrary complex
:
>>> ellipk(3+4j)
(0.9111955638049650086562171 + 0.6313342832413452438845091j)
A definite integral:
>>> quad(ellipk, [0, 1])
2.0
Evaluates the Legendre incomplete elliptic integral of the first kind
or equivalently

The function reduces to a complete elliptic integral of the first kind
(see ellipk()) when
; that is,

In the defining integral, it is assumed that the principal branch
of the square root is taken and that the path of integration avoids
crossing any branch cuts. Outside
,
the function extends quasi-periodically as

Plots
# Elliptic integral F(z,m) for some different m
f1 = lambda z: ellipf(z,-1)
f2 = lambda z: ellipf(z,-0.5)
f3 = lambda z: ellipf(z,0)
f4 = lambda z: ellipf(z,0.5)
f5 = lambda z: ellipf(z,1)
plot([f1,f2,f3,f4,f5], [0,pi], [0,4])
Examples
Basic values and limits:
>>> from mpmath import *
>>> mp.dps = 25; mp.pretty = True
>>> ellipf(0,1)
0.0
>>> ellipf(0,0)
0.0
>>> ellipf(1,0); ellipf(2+3j,0)
1.0
(2.0 + 3.0j)
>>> ellipf(1,1); log(sec(1)+tan(1))
1.226191170883517070813061
1.226191170883517070813061
>>> ellipf(pi/2, -0.5); ellipk(-0.5)
1.415737208425956198892166
1.415737208425956198892166
>>> ellipf(pi/2+eps, 1); ellipf(-pi/2-eps, 1)
+inf
+inf
>>> ellipf(1.5, 1)
3.340677542798311003320813
Comparing with numerical integration:
>>> z,m = 0.5, 1.25
>>> ellipf(z,m)
0.5287219202206327872978255
>>> quad(lambda t: (1-m*sin(t)**2)**(-0.5), [0,z])
0.5287219202206327872978255
The arguments may be complex numbers:
>>> ellipf(3j, 0.5)
(0.0 + 1.713602407841590234804143j)
>>> ellipf(3+4j, 5-6j)
(1.269131241950351323305741 - 0.3561052815014558335412538j)
>>> z,m = 2+3j, 1.25
>>> k = 1011
>>> ellipf(z+pi*k,m); ellipf(z,m) + 2*k*ellipk(m)
(4086.184383622179764082821 - 3003.003538923749396546871j)
(4086.184383622179764082821 - 3003.003538923749396546871j)
For
, the function can be expressed as a
hypergeometric series of two variables
(see appellf1()):
>>> z,m = 0.5, 0.25
>>> ellipf(z,m)
0.5050887275786480788831083
>>> sin(z)*appellf1(0.5,0.5,0.5,1.5,sin(z)**2,m*sin(z)**2)
0.5050887275786480788831083
Called with a single argument
, evaluates the Legendre complete
elliptic integral of the second kind,
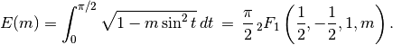
, defined by
Called with two arguments
, evaluates the incomplete elliptic
integral of the second kind
The incomplete integral reduces to a complete integral when
; that is,

In the defining integral, it is assumed that the principal branch
of the square root is taken and that the path of integration avoids
crossing any branch cuts. Outside
,
the function extends quasi-periodically as

Plots
# Elliptic integral E(z,m) for some different m
f1 = lambda z: ellipe(z,-2)
f2 = lambda z: ellipe(z,-1)
f3 = lambda z: ellipe(z,0)
f4 = lambda z: ellipe(z,1)
f5 = lambda z: ellipe(z,2)
plot([f1,f2,f3,f4,f5], [0,pi], [0,4])
Examples for the complete integral
Basic values and limits:
>>> from mpmath import *
>>> mp.dps = 25; mp.pretty = True
>>> ellipe(0)
1.570796326794896619231322
>>> ellipe(1)
1.0
>>> ellipe(-1)
1.910098894513856008952381
>>> ellipe(2)
(0.5990701173677961037199612 + 0.5990701173677961037199612j)
>>> ellipe(inf)
(0.0 + +infj)
>>> ellipe(-inf)
+inf
Verifying the defining integral and hypergeometric representation:
>>> ellipe(0.5)
1.350643881047675502520175
>>> quad(lambda t: sqrt(1-0.5*sin(t)**2), [0, pi/2])
1.350643881047675502520175
>>> pi/2*hyp2f1(0.5,-0.5,1,0.5)
1.350643881047675502520175
Evaluation is supported for arbitrary complex
:
>>> ellipe(0.5+0.25j)
(1.360868682163129682716687 - 0.1238733442561786843557315j)
>>> ellipe(3+4j)
(1.499553520933346954333612 - 1.577879007912758274533309j)
A definite integral:
>>> quad(ellipe, [0,1])
1.333333333333333333333333
Examples for the incomplete integral
Basic values and limits:
>>> ellipe(0,1)
0.0
>>> ellipe(0,0)
0.0
>>> ellipe(1,0)
1.0
>>> ellipe(2+3j,0)
(2.0 + 3.0j)
>>> ellipe(1,1); sin(1)
0.8414709848078965066525023
0.8414709848078965066525023
>>> ellipe(pi/2, -0.5); ellipe(-0.5)
1.751771275694817862026502
1.751771275694817862026502
>>> ellipe(pi/2, 1); ellipe(-pi/2, 1)
1.0
-1.0
>>> ellipe(1.5, 1)
0.9974949866040544309417234
Comparing with numerical integration:
>>> z,m = 0.5, 1.25
>>> ellipe(z,m)
0.4740152182652628394264449
>>> quad(lambda t: sqrt(1-m*sin(t)**2), [0,z])
0.4740152182652628394264449
The arguments may be complex numbers:
>>> ellipe(3j, 0.5)
(0.0 + 7.551991234890371873502105j)
>>> ellipe(3+4j, 5-6j)
(24.15299022574220502424466 + 75.2503670480325997418156j)
>>> k = 35
>>> z,m = 2+3j, 1.25
>>> ellipe(z+pi*k,m); ellipe(z,m) + 2*k*ellipe(m)
(48.30138799412005235090766 + 17.47255216721987688224357j)
(48.30138799412005235090766 + 17.47255216721987688224357j)
For
, the function can be expressed as a
hypergeometric series of two variables
(see appellf1()):
>>> z,m = 0.5, 0.25
>>> ellipe(z,m)
0.4950017030164151928870375
>>> sin(z)*appellf1(0.5,0.5,-0.5,1.5,sin(z)**2,m*sin(z)**2)
0.4950017030164151928870376
Called with three arguments
, evaluates the Legendre
incomplete elliptic integral of the third kind

Called with two arguments
, evaluates the complete
elliptic integral of the third kind
.
In the defining integral, it is assumed that the principal branch
of the square root is taken and that the path of integration avoids
crossing any branch cuts. Outside
,
the function extends quasi-periodically as

Plots
# Elliptic integral Pi(n,z,m) for some different n, m
f1 = lambda z: ellippi(0.9,z,0.9)
f2 = lambda z: ellippi(0.5,z,0.5)
f3 = lambda z: ellippi(-2,z,-0.9)
f4 = lambda z: ellippi(-0.5,z,0.5)
f5 = lambda z: ellippi(-1,z,0.5)
plot([f1,f2,f3,f4,f5], [0,pi], [0,4])
Examples for the complete integral
Some basic values and limits:
>>> from mpmath import *
>>> mp.dps = 25; mp.pretty = True
>>> ellippi(0,-5); ellipk(-5)
0.9555039270640439337379334
0.9555039270640439337379334
>>> ellippi(inf,2)
0.0
>>> ellippi(2,inf)
0.0
>>> abs(ellippi(1,5))
+inf
>>> abs(ellippi(0.25,1))
+inf
Evaluation in terms of simpler functions:
>>> ellippi(0.25,0.25); ellipe(0.25)/(1-0.25)
1.956616279119236207279727
1.956616279119236207279727
>>> ellippi(3,0); pi/(2*sqrt(-2))
(0.0 - 1.11072073453959156175397j)
(0.0 - 1.11072073453959156175397j)
>>> ellippi(-3,0); pi/(2*sqrt(4))
0.7853981633974483096156609
0.7853981633974483096156609
Examples for the incomplete integral
Basic values and limits:
>>> ellippi(0.25,-0.5); ellippi(0.25,pi/2,-0.5)
1.622944760954741603710555
1.622944760954741603710555
>>> ellippi(1,0,1)
0.0
>>> ellippi(inf,0,1)
0.0
>>> ellippi(0,0.25,0.5); ellipf(0.25,0.5)
0.2513040086544925794134591
0.2513040086544925794134591
>>> ellippi(1,1,1); (log(sec(1)+tan(1))+sec(1)*tan(1))/2
2.054332933256248668692452
2.054332933256248668692452
>>> ellippi(0.25, 53*pi/2, 0.75); 53*ellippi(0.25,0.75)
135.240868757890840755058
135.240868757890840755058
>>> ellippi(0.5,pi/4,0.5); 2*ellipe(pi/4,0.5)-1/sqrt(3)
0.9190227391656969903987269
0.9190227391656969903987269
Complex arguments are supported:
>>> ellippi(0.5, 5+6j-2*pi, -7-8j)
(-0.3612856620076747660410167 + 0.5217735339984807829755815j)
Some degenerate cases:
>>> ellippi(1,1)
+inf
>>> ellippi(1,0)
+inf
>>> ellippi(1,2,0)
+inf
>>> ellippi(1,2,1)
+inf
>>> ellippi(1,0,1)
0.0
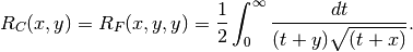
Evaluates the Carlson symmetric elliptic integral of the first kind

which is defined for
, and with
at most one of
being zero.
For real
, the principal square root is taken in the integrand.
For complex
, the principal square root is taken as
and as
non-principal branches are chosen as necessary so as to
make the integrand continuous.
Examples
Some basic values and limits:
>>> from mpmath import *
>>> mp.dps = 25; mp.pretty = True
>>> elliprf(0,1,1); pi/2
1.570796326794896619231322
1.570796326794896619231322
>>> elliprf(0,1,inf)
0.0
>>> elliprf(1,1,1)
1.0
>>> elliprf(2,2,2)**2
0.5
>>> elliprf(1,0,0); elliprf(0,0,1); elliprf(0,1,0); elliprf(0,0,0)
+inf
+inf
+inf
+inf
Representing complete elliptic integrals in terms of
:
>>> m = mpf(0.75)
>>> ellipk(m); elliprf(0,1-m,1)
2.156515647499643235438675
2.156515647499643235438675
>>> ellipe(m); elliprf(0,1-m,1)-m*elliprd(0,1-m,1)/3
1.211056027568459524803563
1.211056027568459524803563
Some symmetries and argument transformations:
>>> x,y,z = 2,3,4
>>> elliprf(x,y,z); elliprf(y,x,z); elliprf(z,y,x)
0.5840828416771517066928492
0.5840828416771517066928492
0.5840828416771517066928492
>>> k = mpf(100000)
>>> elliprf(k*x,k*y,k*z); k**(-0.5) * elliprf(x,y,z)
0.001847032121923321253219284
0.001847032121923321253219284
>>> l = sqrt(x*y) + sqrt(y*z) + sqrt(z*x)
>>> elliprf(x,y,z); 2*elliprf(x+l,y+l,z+l)
0.5840828416771517066928492
0.5840828416771517066928492
>>> elliprf((x+l)/4,(y+l)/4,(z+l)/4)
0.5840828416771517066928492
Comparing with numerical integration:
>>> x,y,z = 2,3,4
>>> elliprf(x,y,z)
0.5840828416771517066928492
>>> f = lambda t: 0.5*((t+x)*(t+y)*(t+z))**(-0.5)
>>> q = extradps(25)(quad)
>>> q(f, [0,inf])
0.5840828416771517066928492
With the following arguments, the square root in the integrand becomes
discontinuous at
if the principal branch is used. To obtain
the right value,
must be taken instead of
on
:
>>> x,y,z = j-1,j,0
>>> elliprf(x,y,z)
(0.7961258658423391329305694 - 1.213856669836495986430094j)
>>> -q(f, [0,0.5]) + q(f, [0.5,inf])
(0.7961258658423391329305694 - 1.213856669836495986430094j)
The so-called first lemniscate constant, a transcendental number:
>>> elliprf(0,1,2)
1.31102877714605990523242
>>> extradps(25)(quad)(lambda t: 1/sqrt(1-t**4), [0,1])
1.31102877714605990523242
>>> gamma('1/4')**2/(4*sqrt(2*pi))
1.31102877714605990523242
References
Evaluates the degenerate Carlson symmetric elliptic integral of the first kind

If
, either a value defined by continuity,
or with pv=True the Cauchy principal value, can be computed.
If
, the value can be expressed in terms of
elementary functions as

Examples
Some special values and limits:
>>> from mpmath import *
>>> mp.dps = 25; mp.pretty = True
>>> elliprc(1,2)*4; elliprc(0,1)*2; +pi
3.141592653589793238462643
3.141592653589793238462643
3.141592653589793238462643
>>> elliprc(1,0)
+inf
>>> elliprc(5,5)**2
0.2
>>> elliprc(1,inf); elliprc(inf,1); elliprc(inf,inf)
0.0
0.0
0.0
Comparing with the elementary closed-form solution:
>>> elliprc('1/3', '1/5'); sqrt(7.5)*acosh(sqrt('5/3'))
2.041630778983498390751238
2.041630778983498390751238
>>> elliprc('1/5', '1/3'); sqrt(7.5)*acos(sqrt('3/5'))
1.875180765206547065111085
1.875180765206547065111085
Comparing with numerical integration:
>>> q = extradps(25)(quad)
>>> elliprc(2, -3, pv=True)
0.3333969101113672670749334
>>> elliprc(2, -3, pv=False)
(0.3333969101113672670749334 + 0.7024814731040726393156375j)
>>> 0.5*q(lambda t: 1/(sqrt(t+2)*(t-3)), [0,3-j,6,inf])
(0.3333969101113672670749334 + 0.7024814731040726393156375j)
Evaluates the Carlson symmetric elliptic integral of the third kind

Like elliprf(), the branch of the square root in the integrand is defined so as to be continuous along the path of integration for complex values of the arguments.
Examples
Some values and limits:
>>> from mpmath import *
>>> mp.dps = 25; mp.pretty = True
>>> elliprj(1,1,1,1)
1.0
>>> elliprj(2,2,2,2); 1/(2*sqrt(2))
0.3535533905932737622004222
0.3535533905932737622004222
>>> elliprj(0,1,2,2)
1.067937989667395702268688
>>> 3*(2*gamma('5/4')**2-pi**2/gamma('1/4')**2)/(sqrt(2*pi))
1.067937989667395702268688
>>> elliprj(0,1,1,2); 3*pi*(2-sqrt(2))/4
1.380226776765915172432054
1.380226776765915172432054
>>> elliprj(1,3,2,0); elliprj(0,1,1,0); elliprj(0,0,0,0)
+inf
+inf
+inf
>>> elliprj(1,inf,1,0); elliprj(1,1,1,inf)
0.0
0.0
>>> chop(elliprj(1+j, 1-j, 1, 1))
0.8505007163686739432927844
Scale transformation:
>>> x,y,z,p = 2,3,4,5
>>> k = mpf(100000)
>>> elliprj(k*x,k*y,k*z,k*p); k**(-1.5)*elliprj(x,y,z,p)
4.521291677592745527851168e-9
4.521291677592745527851168e-9
Comparing with numerical integration:
>>> elliprj(1,2,3,4)
0.2398480997495677621758617
>>> f = lambda t: 1/((t+4)*sqrt((t+1)*(t+2)*(t+3)))
>>> 1.5*quad(f, [0,inf])
0.2398480997495677621758617
>>> elliprj(1,2+1j,3,4-2j)
(0.216888906014633498739952 + 0.04081912627366673332369512j)
>>> f = lambda t: 1/((t+4-2j)*sqrt((t+1)*(t+2+1j)*(t+3)))
>>> 1.5*quad(f, [0,inf])
(0.216888906014633498739952 + 0.04081912627366673332369511j)
Evaluates the degenerate Carlson symmetric elliptic integral
of the third kind or Carlson elliptic integral of the
second kind
.
See elliprj() for additional information.
Examples
>>> from mpmath import *
>>> mp.dps = 25; mp.pretty = True
>>> elliprd(1,2,3)
0.2904602810289906442326534
>>> elliprj(1,2,3,3)
0.2904602810289906442326534
The so-called second lemniscate constant, a transcendental number:
>>> elliprd(0,2,1)/3
0.5990701173677961037199612
>>> extradps(25)(quad)(lambda t: t**2/sqrt(1-t**4), [0,1])
0.5990701173677961037199612
>>> gamma('3/4')**2/sqrt(2*pi)
0.5990701173677961037199612
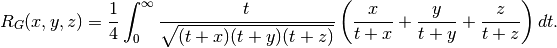
Evaluates the Carlson completely symmetric elliptic integral of the second kind

Examples
Evaluation for real and complex arguments:
>>> from mpmath import *
>>> mp.dps = 25; mp.pretty = True
>>> elliprg(0,1,1)*4; +pi
3.141592653589793238462643
3.141592653589793238462643
>>> elliprg(0,0.5,1)
0.6753219405238377512600874
>>> chop(elliprg(1+j, 1-j, 2))
1.172431327676416604532822
A double integral that can be evaluated in terms of
:
>>> x,y,z = 2,3,4
>>> def f(t,u):
... st = fp.sin(t); ct = fp.cos(t)
... su = fp.sin(u); cu = fp.cos(u)
... return (x*(st*cu)**2 + y*(st*su)**2 + z*ct**2)**0.5 * st
...
>>> nprint(mpf(fp.quad(f, [0,fp.pi], [0,2*fp.pi])/(4*fp.pi)), 13)
1.725503028069
>>> nprint(elliprg(x,y,z), 13)
1.725503028069
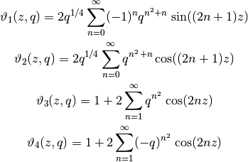
Computes the Jacobi theta function
, where
, defined by the infinite series:

The theta functions are functions of two variables:
is the argument, an arbitrary real or complex number
is the nome, which must be a real or complex number
in the unit disk (i.e.
). For
, the
series converge very quickly, so the Jacobi theta functions
can efficiently be evaluated to high precision.The compact notations
and
are also frequently
encountered. Finally, Jacobi theta functions are frequently
considered as functions of the half-period ratio
and then usually denoted by
.
Optionally, jtheta(n, z, q, derivative=d) with
computes
a
-th derivative with respect to
.
Examples and basic properties
Considered as functions of
, the Jacobi theta functions may be
viewed as generalizations of the ordinary trigonometric functions
cos and sin. They are periodic functions:
>>> from mpmath import *
>>> mp.dps = 25; mp.pretty = True
>>> jtheta(1, 0.25, '0.2')
0.2945120798627300045053104
>>> jtheta(1, 0.25 + 2*pi, '0.2')
0.2945120798627300045053104
Indeed, the series defining the theta functions are essentially trigonometric Fourier series. The coefficients can be retrieved using fourier():
>>> mp.dps = 10
>>> nprint(fourier(lambda x: jtheta(2, x, 0.5), [-pi, pi], 4))
([0.0, 1.68179, 0.0, 0.420448, 0.0], [0.0, 0.0, 0.0, 0.0, 0.0])
The Jacobi theta functions are also so-called quasiperiodic
functions of
and
, meaning that for fixed
,
and
are the same
except for an exponential factor:
>>> mp.dps = 25
>>> tau = 3*j/10
>>> q = exp(pi*j*tau)
>>> z = 10
>>> jtheta(4, z+tau*pi, q)
(-0.682420280786034687520568 + 1.526683999721399103332021j)
>>> -exp(-2*j*z)/q * jtheta(4, z, q)
(-0.682420280786034687520568 + 1.526683999721399103332021j)
The Jacobi theta functions satisfy a huge number of other
functional equations, such as the following identity (valid for
any
):
>>> q = mpf(3)/10
>>> jtheta(3,0,q)**4
6.823744089352763305137427
>>> jtheta(2,0,q)**4 + jtheta(4,0,q)**4
6.823744089352763305137427
Extensive listings of identities satisfied by the Jacobi theta functions can be found in standard reference works.
The Jacobi theta functions are related to the gamma function for special arguments:
>>> jtheta(3, 0, exp(-pi))
1.086434811213308014575316
>>> pi**(1/4.) / gamma(3/4.)
1.086434811213308014575316
jtheta() supports arbitrary precision evaluation and complex arguments:
>>> mp.dps = 50
>>> jtheta(4, sqrt(2), 0.5)
2.0549510717571539127004115835148878097035750653737
>>> mp.dps = 25
>>> jtheta(4, 1+2j, (1+j)/5)
(7.180331760146805926356634 - 1.634292858119162417301683j)
Evaluation of derivatives:
>>> mp.dps = 25
>>> jtheta(1, 7, 0.25, 1); diff(lambda z: jtheta(1, z, 0.25), 7)
1.209857192844475388637236
1.209857192844475388637236
>>> jtheta(1, 7, 0.25, 2); diff(lambda z: jtheta(1, z, 0.25), 7, 2)
-0.2598718791650217206533052
-0.2598718791650217206533052
>>> jtheta(2, 7, 0.25, 1); diff(lambda z: jtheta(2, z, 0.25), 7)
-1.150231437070259644461474
-1.150231437070259644461474
>>> jtheta(2, 7, 0.25, 2); diff(lambda z: jtheta(2, z, 0.25), 7, 2)
-0.6226636990043777445898114
-0.6226636990043777445898114
>>> jtheta(3, 7, 0.25, 1); diff(lambda z: jtheta(3, z, 0.25), 7)
-0.9990312046096634316587882
-0.9990312046096634316587882
>>> jtheta(3, 7, 0.25, 2); diff(lambda z: jtheta(3, z, 0.25), 7, 2)
-0.1530388693066334936151174
-0.1530388693066334936151174
>>> jtheta(4, 7, 0.25, 1); diff(lambda z: jtheta(4, z, 0.25), 7)
0.9820995967262793943571139
0.9820995967262793943571139
>>> jtheta(4, 7, 0.25, 2); diff(lambda z: jtheta(4, z, 0.25), 7, 2)
0.3936902850291437081667755
0.3936902850291437081667755
Possible issues
For
or
, jtheta() raises
ValueError. This exception is also raised for
extremely
close to 1 (or equivalently
very close to 0), since the
series would converge too slowly:
>>> jtheta(1, 10, 0.99999999 * exp(0.5*j))
Traceback (most recent call last):
...
ValueError: abs(q) > THETA_Q_LIM = 1.000000
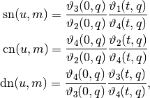
Computes any of the Jacobi elliptic functions, defined in terms of Jacobi theta functions as

or more generally computes a ratio of two such functions. Here
, and
denotes the nome (see
nome()). Optionally, you can specify the nome directly
instead of
by passing q=<value>, or you can directly
specify the elliptic parameter
with k=<value>.
The first argument should be a two-character string specifying the
function using any combination of 's', 'c', 'd', 'n'. These
letters respectively denote the basic functions
,
,
, and
.
The identifier specifies the ratio of two such functions.
For example, 'ns' identifies the function

and 'cd' identifies the function

If called with only the first argument, a function object evaluating the chosen function for given arguments is returned.
Examples
Basic evaluation:
>>> from mpmath import *
>>> mp.dps = 25; mp.pretty = True
>>> ellipfun('cd', 3.5, 0.5)
-0.9891101840595543931308394
>>> ellipfun('cd', 3.5, q=0.25)
0.07111979240214668158441418
The sn-function is doubly periodic in the complex plane with periods
and
(see ellipk()):
>>> sn = ellipfun('sn')
>>> sn(2, 0.25)
0.9628981775982774425751399
>>> sn(2+4*ellipk(0.25), 0.25)
0.9628981775982774425751399
>>> chop(sn(2+2*j*ellipk(1-0.25), 0.25))
0.9628981775982774425751399
The cn-function is doubly periodic with periods
and
:
>>> cn = ellipfun('cn')
>>> cn(2, 0.25)
-0.2698649654510865792581416
>>> cn(2+4*ellipk(0.25), 0.25)
-0.2698649654510865792581416
>>> chop(cn(2+4*j*ellipk(1-0.25), 0.25))
-0.2698649654510865792581416
The dn-function is doubly periodic with periods
and
:
>>> dn = ellipfun('dn')
>>> dn(2, 0.25)
0.8764740583123262286931578
>>> dn(2+2*ellipk(0.25), 0.25)
0.8764740583123262286931578
>>> chop(dn(2+4*j*ellipk(1-0.25), 0.25))
0.8764740583123262286931578
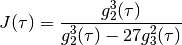
Evaluates the Klein j-invariant, which is a modular function defined for
in the upper half-plane as

where
and
are the modular invariants of the Weierstrass
elliptic function,

An alternative, common notation is that of the j-function
.
Plots
# Klein J-function as function of the number-theoretic nome
fp.cplot(lambda q: fp.kleinj(qbar=q), [-1,1], [-1,1], points=50000)
# Klein J-function as function of the half-period ratio
fp.cplot(lambda t: fp.kleinj(tau=t), [-1,2], [0,1.5], points=50000)
Examples
Verifying the functional equation
:
>>> from mpmath import *
>>> mp.dps = 25; mp.pretty = True
>>> tau = 0.625+0.75*j
>>> tau = 0.625+0.75*j
>>> kleinj(tau)
(-0.1507492166511182267125242 + 0.07595948379084571927228948j)
>>> kleinj(tau+1)
(-0.1507492166511182267125242 + 0.07595948379084571927228948j)
>>> kleinj(-1/tau)
(-0.1507492166511182267125242 + 0.07595948379084571927228946j)
The j-function has a famous Laurent series expansion in terms of the nome
,
:
>>> mp.dps = 15
>>> taylor(lambda q: 1728*q*kleinj(qbar=q), 0, 5, singular=True)
[1.0, 744.0, 196884.0, 21493760.0, 864299970.0, 20245856256.0]
The j-function admits exact evaluation at special algebraic points related to the Heegner numbers 1, 2, 3, 7, 11, 19, 43, 67, 163:
>>> @extraprec(10)
... def h(n):
... v = (1+sqrt(n)*j)
... if n > 2:
... v *= 0.5
... return v
...
>>> mp.dps = 25
>>> for n in [1,2,3,7,11,19,43,67,163]:
... n, chop(1728*kleinj(h(n)))
...
(1, 1728.0)
(2, 8000.0)
(3, 0.0)
(7, -3375.0)
(11, -32768.0)
(19, -884736.0)
(43, -884736000.0)
(67, -147197952000.0)
(163, -262537412640768000.0)
Also at other special points, the j-function assumes explicit algebraic values, e.g.:
>>> chop(1728*kleinj(j*sqrt(5)))
1264538.909475140509320227
>>> identify(cbrt(_)) # note: not simplified
'((100+sqrt(13520))/2)'
>>> (50+26*sqrt(5))**3
1264538.909475140509320227